WAO Convenant
Buiten document
Documenten voor 2001:
Algemene toelichting convenant
Verbond van verzekeraars 24-07-2000, kapitalisatiefactor en nieuwe formule
Verbond van verzekeraars 23-06-2000, instelling geschillencommissie
VERBOND VAN VERZEKERAARS Lisv 26 april 2000 korting 2%
VERBOND VAN VERZEKERAARS Lisv 5 april 2000 afkoopformule, geschillencie
Aanpassing afkoopformule januari 2000
LISV Cie verzekeringszaken (CVZ) 09‑09‑1999 CVZ 3/692 Afronding WAO convenant
Geschillencommissie convenant verhaalsrecht WAO
Berekening van het fictieve AAW‑bedrag
Besluit LISV factoren L en r voor 1999
VERBOND VAN VERZEKERAARS Uitvoering convenant verhaalsrecht WAO 11 mei 1999
BEREKENINGSMETHODIEK VOLGENS CONVENANT
Mededeling Lisv M. 98.134 van 9 december 1998 inzake vaststelling WAO convenant
Berekening van het fictieve AAW-bedrag
BESLUIT 8 april 1982, inzake nadere regelen ingevolge art. 40, derde lid, van de WAO
BESCHIKKING 29 december 1980 inzake vaststelling regelen ex art. 90 WAO
Besluit 1-10-1976 tot wijziging uitkering
VERBOND VAN VERZEKERAARS
Bordewijklaan 2
Postbus 93450
2509 AL Den Haag
Telefoon 070‑333 85 00*
Telefax 070‑333 85 10
Doorkiesnummer 070‑3338644
Fax (rechtstreeks) 070‑3338640
Sector Schadeverzekering
Aan de Raden van Bestuur en Directies
van alle bij het Verbond van Verzekeraars
aangesloten schadeverzekeringsinstellingen
[Bestemd voor branches motorrijtuigen, aansprakelijkheid en transport
Den Haag, 5 november 1998
Referentie :98UIT4/1011/HM
Betreft : Intekening regresconvenant WAO
Dames en heren,
Samenvatting
Het Verbond van Verzekeraars en het Landelijk instituut sociale verzekeringen (Lisv) zijn een convenant verhaalsrecht WAO overeengekomen. De ondertekening hiervan vindt plaats op 27 november aanstaande. Het convenant standaardiseert de behandeling van WAO‑regresdossiers voor een belangrijk deel. Sinds de tachtiger jaren worden regresclaims WAO gedeeltelijk of helemaal niet afgehandeld. Het starten van juridische procedures is zowel voor verzekeraars als voor het Lisv riskant en inefficiënt en geeft in de praktijk aanleiding tot nieuwe juridische discussies. Het grote aantal openstaande dossiers genereert transactiekosten en onzekerheid over inkomsten en reserveringen. Door in te tekenen op het regresconvenant WAO en regresvorderingen volgens de bepalingen en de geest van het convenant te behandelen, kunt u de historische en toekomstige regresclaims WAO efficiënt afhandelen en op een basis die recht doet aan het standpunt van verzekeraars ten aanzien van de bruto/netto‑problematiek. De hoofdpunten van het convenant zijn een vast kortingspercentage van 24% over de bruto WAO‑uitkering en een looptijd van 3 jaar.
Op 1 oktober 1997 is tussen het Verbond van Verzekeraars en het Landelijk instituut sociale verzekeringen (Lisv) een hoofdlijnenakkoord overeengekomen voor een convenant verhaalsrecht WAO. Op basis van dit hoofdlijnenakkoord hebben delegaties vanuit het Verbond en het Lisv vervolgens verdere besprekingen gevoerd over de definitieve invulling van het convenant. Op 8 en 9 oktober jl. hebben de laatste gesprekken hierover plaatsgevonden.
Circulaire MSS 98/15
De belangrijkste punters uit het convenant zijn:
• na de invoering van Pemba (1 januari 1998) is er een looptijd van 3 jaar. Het convenant ziet op lopende dossiers tot en met 31 december 1997 alsmede de dossiers die ontstaan in 1998, 1999 en 2000;
• een kortingspercentage van 24% te rekenen over de bruto WAO‑uitkering van het Lisv met inachtneming van het overgangsrecht Pemba. Bij WAO‑uitkeringen vóór 1 januari 1998 (invoering van de wet Pemba) wordt de bruto AAW‑uitkering in mindering gebracht;
• over te veel dan wel te weinig betaalde bedragen is conform wet‑ en regelgeving wettelijke rente verschuldigd;
• voorwaarde voor het effectueren van het convenant is dat aan de kant van het Verbond van Verzekeraars een dekkingsgraad van ten minste 95% (zowel premieinkomen als aantallen verzekeraars) wordt bereikt;
• partijen die deelnemen aan het convenant doers voor de duur hiervan afstand van eventuele aanspraken en rechten die voortvloeien uit rechterlijke uitspraken waarin partijen betrokken zijn die het convenant niet hebben ondertekend.
Noodzaak van een verhaalsconvenant WAO
De discussie tussen aansprakelijkheidsverzekeraars en het Lisv over de bruto/nettoproblematiek bestaat als sinds de jaren tachtig. In die periode is regelmatig geprocedeerd, maar de gewezen uitspraken leveren meer vragen op dan antwoorden. De uitkomst van nieuwe procedures is onzeker en derhalve voor zowel verzekeraars als UVI's een risico. Bovendien hebben partijen zich zodanig in de materie vastgebeten, dat een uitspraak van de rechter waarschijnlijk tot nieuwe juridische procedures zal leiden.
Het door het Lisv te vorderen bedrag is inmiddels fors opgelopen. Op termijn is dit politiek onaanvaardbaar. Het grote aantal openstaande dossiers zal, zonder het sluiten van een convenant, op termijn tot grote transactiekosten kunnen leiden. Bovendien kunnen aansprakelijkheidsverzekeraars niet adequaat reserveren en heeft het Lisv geen zekerheid over hun inkomsten.
Voor verzekeraars is het politieke risico aanwezig dat als gevolg van het niet slagen van de afspraak met het Lisv en het als gevolg daarvan verder oplopende te vorderen bedrag, de overheid regelgeving voorbereidt in die zin dat een bruto‑vorderingsrecht wellicht in de wet wordt opgenomen.
Toelichting op inhoud convenant
Het regresconvenant WAO standaardiseert de behandeling van historische, nieuwe en zogenaamde "stabiele" WAO‑regresdossiers. In alle gevallen geldt er een vast kortingspercentage van 24% om tot de netto‑vordering te komen. Als verzekeraar en UVI's een stabiel dossier ineens willen afkopen, dan is de afkoopregeling van toepassing. Het kortingspercentage bedraagt ook hier 24%, de andere parameters worden jaarlijks bijgesteld. Overigens is het van belang hier te melden dat bij de in de afkoopformule te hanteren C‑factor gedurende de looptijd van het convenant wordt uitgegaan van een percentage van 22,5%.
Ten aanzien van de medische causaliteit is vermeldenswaard dat ‑ in afwijking van eerder genoemd hoofdlijnenakkoord ‑ in het convenant is neergelegd dat verzekeraars het medisch causaliteitsverweer mogen blijven voeren indien duidelij k is dat de arbeidsongeschiktheid niet veroorzaakt kan zijn door het ongeval dat leidt tot een WAO‑uitkering. In de toelichting zal dat met voorbeelden verduidelijkt worden.
98UIT4/1011/HM ‑ 2 ‑
Circulaire MSS 98/15
Afhandeling regresclaims WAO in geest van convenant
Met het sluiten van het regresconvenant WAO willen het Lisv en verzekeraars de vlotte afhandeling van regresclaims mogelijk maken. De opstellers van het convenant hebben geprobeerd om de afspraken tussen verzekeraars en het Lisv zo sluitend mogelijk te beschrijven. De ervaring met het Regresconvenant ZW heeft echter geleerd dat partijen sours van mening zijn dat bepalingen voor tweeërlei uitleg vatbaar zijn.
In het convenant is een geschillenprocedure beschreven die gehanteerd dient te worden als een dergelijke onduidelijkheid zich voordoet. De doelstelling van het convenant dient leidend te zijn bij de uitleg van bepalingen en de uitleg dient gelijk te zijn voor alle partijen die aan het convenant deelnemen.
In het convenant is daarom neergelegd dat er een geschillencommissie wordt ingesteld die eventuele geschillen zal behandelen. De uitspraak van deze commissie is bindend. De commissie bestaat uit drie personen: één benoemd door het Lisv, één persoon benoemd door het Verbond en een derde persoon die wordt benoemd door eerstgenoemde leden gezamenlijk.
Inschrijving op het convenant
Door ondertekening van het bijgevoegde inschrijfformulier kunt u deelnemen aan het regresconvenant WAO. De inschrijvingstermijn loopt tot en met donderdag 19 november aanstaande. Het convenant moet op 1 december 1998 in werking treden.
Wij verzoeken u vriendelijk het inschrijfformulier zowel per fax als schriftelijk toe te sturen aan:
Verbond van Verzekeraars t.a.v. de heer drs. P.L.M. Janssen Postbus 93450 2509 AL DEN HAAG fax: 070 ‑ 333 86 30
We willen hier nogmaals het belang onderschrijven van deelname van het convenant. Indien het convenant een suces wordt zal dit een goede basis kunnen bieden voor verdere normering en zelfregulering met het Lisv en (andere) externe regresnemers.
Met vriendelijke groet,
‑Mr. R.. Weurding
secretaris BIJLAGEN: 2
Inlichtingen bij
drs. P.L.M. Janssen 2 070 ‑ 333 86 05
98UIT4/1011/HM ‑ 3 ‑
S.v.p. uiterlijk 19 november 1998 retourneren aan:
Verbond van Verzekeraars Bijlage 1 bij MSS 98/15
t.a.v. de heer drs. P.L.M. Janssen
Postbus 93450
2509 AL DEN HAAG
Fax: 070 ‑ 333 86 30
INTEKENFORMULIER CONVENANT MET HET LISV
INZAKE VERHAALSRECHT WAO
Maatschappij :
Vertegenwoordigd door : ....................................................................................
Functie vertegenwoordiger :
wenst wel deel te nemen aan het convenant tussen het Verbond van Verzekeraars en het Lisv inzake het verhaalsrecht Wet op de Arbeidsongeschiktheidsverzekering (WAO).
Door ondertekening verbindt ondertekende zich jegens het Lisv om de regresvorderingen op basis van art. 90 WAO en de vorderingen op basis van art. 52a Ziektewet, volgens de bepalingen van het convenant en de daarbij behorende toelichting of te handelen. De regresvordering op basis van art. 52a Ziektewet bestaat alleen in die gevallen waarin een Ziektewetuitkering aan de uitkering ingevolge de WAO is voorafgegaan.
0 wenst niet deel te nemen aan het convenant tussen het Verbond van Verzekeraars en het Lisv inzake het verhaalsrecht Wet op de Arbeidsongeschiktheidsverzekering (WAO).
Aanspreekpunt voor afhandelen regresvorderingen WAO / ZW:
De heer / mevrouw :
Afdeling :
Adres :
Telefoonnummer ................ ‑
Faxnummer : .............. ‑
Datum :
Handtekening :
Bijlage 2 bij MSS 98/15
CONVENANT TUSSEN HET VERBOND VAN VERZEKERAARS EN HET LANDELIJK
INSTITUUT SOCIALE VERZEKERINGEN INZAKE HET VERHAALSRECHT WET OP DE
ARBEIDSONGESCHIKTHEIDSVERZEKERING
november 1998
Overwegingen
Het Landelijk instituut sociale verzekeringen (Lisv) heeft op grond van art. 90, lid 1 van de Wet op de Arbeidsongeschiktheidsverzekering (WAO) voor de krachtens de WAO gemaakte kosten een verhaalsrecht op degene, die in verband met het veroorzaken van ongeschiktheid tot werken jegens de uitkeringsgerechtigde naar burgerlijk recht tot schadevergoeding is verplicht.
Het Lisv en de verzekeraars verschillen van mening omtrent de omvang van het verhaalsrecht. De afwikkeling van verhaalsvorderingen loopt hierdoor grote vertraging op. Een en ander leidt tot hoge (extra) kosten voor beide partijen.
Het Lisv en het Verbond van Verzekeraars hebben zich vanuit die positie gebogen over een praktische oplossing voor de afwikkeling van verhaalsvorderingen, waarvan de uitkomst in dit convenant is neergelegd.
Met het afsluiten van het convenant beogen het Lisv en het Verbond van Verzekeraars om lopende en toekomstige zaken op een voor beide partijen doelmatige en aceptabele wijze of te handelen. De werking van het convenant strekt zich uit over alle lopende dossiers tot en met 31 december 1997 alsmede de dossiers (WAO c.q. WAO‑Pemba) met een ongevalsdatum die ligt in de jaren 1998, 1999 en 2000. Door het afsluiten van het convenant ontstaat duidelijkheid voor beide partijen over de omvang van de schadevergoeding voor zowel oude als nieuwe dossiers.
Met het afsluiten van het convenant worden discussies op dossierniveau alsmede langdurende en kostbare juridische procedures vermeden waardoor besparingen optreden op (uitvoerings)kosten.
De uitvoering van het convenant aan de zijde van het Lisv zal onder verantwoordelijkheid van het Lisv plaatsvinden door de uitvoeringsinstellingen sociale werknemersverzekeringen.
De in dit convenant neergelegde praktisch oplossing doet niets of aan de wederzijdse standpunten van het Lisv en de verzekeraars omtrent de vaststelling van de omvang van het verhaalsrecht.
Het Lisv en de verzekeraars die intekenen op het convenant verplichten zich bij de wederzijdse afwikkeling van WAO‑verhaalsvorderingen de bepalingen van dit convenant na te levers.
Dat voorwaarde voor het effectueren van het convenant is dat aan de kant van de leden van het Verbond van Verzekeraars een dekkingsgraad van tenminste 95% wordt bereikt.
CONVENANT De partijen:
Het Verbond van Verzekeraars te Den Haag, vertegenwoordigd door de heer S.J. Jonker, verder te noemen het Verbond, en
Het Landelijk instituut sociale verzekeringen te Amsterdam, vertegenwoordigd door de voorzitter, de heer J.F. Buurmeijer, verder te noemen het Lisv,
zijn het volgende overeengekomen omtrent de afwikkeling van verhaalsvorderingen op grond van art. 90, lid 1 van de Wet op de arbeidsongeschiktheidsverzekering:
Artikel 1
De bepalingen van dit convenant zijn alleen van toepassing op:
a) nog niet onherroepelijk afgewikkelde vorderingen alsmede nog in te stellen vorderingen op grond van art. 90, lid 1 van de WAO, onder verantwoordelijkheid van het Lisv gedaan door een uitvoeringsinstelling sociale werknemersverzekeringen (UVI), op een verzekeraar die heeft ingetekend op het convenant verhaalsrecht WAO; b) nog niet onherroepelijk afgewikkelde vorderingen alsmede nog in te stellen vorderingen op grond van art. 52a van de Ziektewet (ZW) betreffende de ZW‑uitkering die vooraf ging aan de WAO‑uitkering, gedaan door het Lisv op een verzekeraar die heeft ingetekend op het convenant verhaalsrecht WAO;
Artikel 2
De bepalingen van dit convenant zijn niet van toepassing op verhaalszaken WAO die zonder voorbehoud zijn afgedaan vóór inwerkingtreding van het convenant. Een dergelijk voorbehoud moet schriftelijk tussen partijen zijn overeengekomen en geacordeerd.
Artikel 3
1. Bij de berekening van de vordering op grond van art. 90, lid 1 WAO wordt een onder
scheid gemaakt tussen vorderingen met een tot dit regres leidende gebeurtenis (= onge
val) vóór 1 januari 1998 en na deze datum.
2. Bij een tot de regresvordering leidende gebeurtenis vóór 1 januari 1998 wordt de (bruto)
uitkering op grond van de WAO (incl. overhevelingstoeslag) vooreerst verminderd met de
voor de betreffende jaren geldende bruto AAW‑uitkering. Hierbij wordt de vermelde over
hevelingstoeslag ‑ conform de in de toelichting vermelde berekeningswijze ‑ naar rato
toegerekend aan deze AAW‑uitkering.
3. Voor de bepaling van de in lid 2 bedoelde aftrek wordt voor de in de jaren 1998 en vol
gende te verhalen WAO‑uitkeringen uitgegaan van het niveau van de bruto AAW
uitkering over 1997, jaarlijks en op basis van een samengestelde berekening te vermeer
deren met het percentage waarmee in dat jaar het minimumloon en de daaraan gekop
pelde sociale uitkeringen zijn verhoogd op grond van de Wet koppeling met afwijkings
mogelijkheid (WKA).
4. Bij een tot een regresvordering leidende gebeurtenis na 1 januari 1998 wordt voor de vordering op grond van art. 90, lid 1 WAO alleen uitgegaan van de bruto‑uitkering op grond van de WAO.
5. De op basis van de voorgaande leden en artikel 90 WAO berekende vordering van het Lisv op grond van art. 90, lid 1 WAO wordt vervolgens verminderd met een forfaitaire korting van 24%.
6. De vordering van het Lisv voor de krachtens de ZW gemaakte kosten, bedoeld in art. 52a ZW, wordt verminderd met een forfaitaire korting van 24%.
Artikel 4
1. Partijen mogen geschilpunten ten aanzien van schuld, toerekening, verjaring of andere verweren aanvoeren, behalve ten aanzien van de medische causaliteit zoals in lid 2 is verwoord.
2. Verzekeraars zullen er zich niet op beroepen dat de arbeidsongeschiktheid op basis waarvan de uitkeringsgerechtigde de ZW danwel de WAO‑uitkering heeft ontvangen, geheel of gedeeltelijk haar oorzaak vindt in een al dan niet latent aanwezige ziekte of aandoening die reeds bestond vóór de gebeurtenis die leidde tot de regresvordering, tenzij het medisch gezien duidelijk is dat de tot de WAO‑uitkering aanleiding gevende ziekte of aandoening niet door het ongeval veroorzaakt kan zijn.
3. Indien de uitkeringsgerechtigde binnen een periode van 52 weken vóór de gebeurtenis die leidde tot de regresvordering, gedurende tenminste een aaneengesloten periode van vier weken wegens de in lid 2 genoemde ziekte of aandoening arbeidsongeschikt is geweest, wordt aan de in lid 2 bedoelde gebeurtenis alleen de toename van de arbeidsongeschiktheid toegeschreven.
Artikel 5
1. Tijdens de looptijd van het convenant wordt door partijen geen beroep gedaan op rechterlijke uitspraken waarin is beslist over het civiele plafond, de bruto‑netto problematiek en/of vragen van medische causaliteit. Procedures die aanhangig zijn daarover, zullen worden beëindigd met compensatie van kosten.
2. Partijen die deelnemen aan het convenant doers voor de duur van het convenant jegens elkaar geen beroep op rechterlijke uitspraken over de in lid 1 bedoelde vraagstukken, waarin partijen betrokken zijn die het convenant niet hebben getekend.
Artikel 6
Over de vordering ZW als vastgesteld met inachtneming van het bepaalde in art. 3, lid 6 en
art. 4, lid 1 en 2, minus de reeds door de verzekeraar betaalde vergoeding, en over de vordering WAO als vastgesteld met inachtneming van het bepaalde in art. 3 lid 1 tot en met 5 en art. 4, lid 1 en 2, minus de reeds door de verzekeraar betaalde vergoeding, is de wettelijke rente verschuldigd.
Artikel 7
Bij de afwikkeling van de regresvorderingen volgens het convenant zullen partijen elkaar geen kosten in rekening brengen.
1. Vóór 1 maart 1999 meldt het Lisv / de UVI door middel van een overzicht de voor 1 november 1998 ingediende vorderingen die volgens de bepalingen van het convenant moeten worden afgewikkeld, aan bij de verzekeraar. Voor de in de eerste volzin bedoelde vorderingen die na 1 maart 1999 worden aangemeld, doet het Lisv / de UVI afstand van de wettelijke rente over de periode van 1 maart 1999 tot de datum waarop de vordering wordt aangemeld.
2. De verzekeraar zal binnen drie maanden nadat de vordering bij hem is aangemeld het volgens het convenant verschuldigde bedrag voldoen.
Artikel 9
1. Vóór 1 maart 1999 meldt de verzekeraar door middel van een overzicht aan het Lisv / de UVI de door het Lisv / de UVI voor 1 november 1998 ingediende vorderingen waarop de verzekeraar onder voorbehoud als bedoeld in art. 2 van de vordering geheel of gedeeltelijk heeft voldaan en waarbij er door toepassing van het convenant een schuld bestaat van het Lisv / de UVI aan de verzekeraar. Voor de in de eerste volzin bedoelde vorderingen die na 1 maart 1999 worden aangemeld, doet de verzekeraar afstand van de wettelijke rente over de periode van 1 maart 1999 tot de datum waarop de vordering wordt aangemeld.
2. Het Lisv / de UVI zal binnen 3 maanden nadat de vordering bij hem is aangemeld het volgens het convenant verschuldigde bedrag voldoen.
Artikel 10
1. Als UVI's en verzekeraar wederzijds besluiten tot afkoop van toekomstige vorderingen, dan is de in de bijlage bij dit convenant opgenomen afkoopregeling van toepassing. Bij de bepaling van het bedrag van de periodieke uitkering per jaar (factor U) wordt de forfaitaire korting voor het verhaalsrecht WAO van 24% toegepast. Als dit wederzijds besluit tot afkoop niet tot stand komt, dan worden verhaalsvorderingen welke doorlopen ín de toekomst jaarlijks afgehandeld met toepassing van dit convenant.
2. Als bij de tweede WAO‑keuring blijkt dat spaáke is van een stabiele situatie, zijn partijen over en weer verplicht tot afkoop.
3. Bij de in de afkoopformule te hanteren C‑factor wordt gedurende de looptijd van het convenant uitgegaan van een percentage van 22,5%.
Artikel 11
Geschillen tussen een UVI en een verzekeraar die voortvloeien uit dit convenant zullen op
directieniveau worden voorgelegd aan een hiervoor in te stellen geschillencommissie, echter niet eerder dan nadat deze directeuren zich maximaal hebben ingespannen om in onderling overleg tot een oplossing te komen. De geschillencommissie zal bestaan uit 3 leden: een lid te benoemen door het Verbond, een lid te benoemen door het Lisv en een lid te benoemen door voornoemde vertegenwoordigers gezamenlijk. De uitspraak van de geschillencommissie is voor partijen bindend.
Artikel 12
Het convenant loopt of op 31 december 2000, om 0.00 uur. Vóór 1 februari 2000 zullen partijen de werking van het convenant evalueren en met elkaar in onderhandeling treden over de voorwaarden voor voortzetting daarvan.
Artikel 13
./. De toelichting op het convenant maakt deel uit van het convenant.
Datum: Datum:
Handtekening: Handtekening:
S.J. Jonker J.F. Buurmeijer
voorzitter voorzitter
Verbond van Verzekeraars Landelijk instituut sociale verzekeringen
Algemene toelichting
Op grond van artikel 90 van de Wet op de arbeidsongeschiktheidsverzekering (WAO) heeft het Landelijk instituut sociale verzekeringen (Lisv) de mogelijkheid om krachtens de WAO gemaakte kosten te verhalen op degene die in verband met het veroorzaken van de ongeschiktheid tot werken jegens de uitkeringsgerechtigde naar burgerlijk recht tot schadevergoeding verplicht is. De Uitvoeringsinstellingen sociale werknemersverzekeringen (UVI's) oefenen dit verhaalsrecht onder verantwoordelijkheid van het Lisv uit.
Hierbij dient echter onderscheid te worden gemaakt tussen de situatie vóór en na de invoering van de Wet premiedifferentiatie en marktwerking bij arbeidsongeschiktheidsverzekeringen (Pemba) per 1 januari 1998. In de situatie vóór 1 januari 1998 werd in artikel 90 WAO onder de krachtens de WAO gemaakte kosten niet verstaan een bedrag, dat gelijk is aan het bedrag aan arbeidsongeschiktheidsuitkering op grond van de Algemene Arbeidsongeschiktheidswet dat onder toepassing van artikel 36a, eerste lid, van die wet niet tot uitbetaling komt. Met de integratie van de AAW en de WAO tot één publieke werknemersverzekering tegen arbeidsongeschiktheid, is deze laatstgenoemde zinsnede uit art. 90, lid 1 van de WAO geschrapt. Dit betekent dat voor gebeurtenissen, die plaatsvinden na 1 januari 1998 en die leiden tot een verhaalsclaim WAO, deze WAO‑claim in zijn geheel als verhaalsvordering geldt.
De verhaalsvordering is verder beperkt. Gevorderd kan worden tot ten hoogste dat bedrag waarop de uitkeringsgerechtigde ten opzichte van de schadeveroorzaker naar burgerlijk recht aanspraak kan maken, verminderd met het bedrag tot betaling waarvan de schadeveroorzaker jegens de uitkeringsgerechtigde naar burgerlijk recht is gehouden.
Het Lisv en de verzekeraars verschillen van mening over de vaststelling van de omvang van het te verhalen bedrag. Als gevolg hiervan loopt de afwikkeling van de verhaalsdossiers grote vertraging op. Gelet op het belang van Lisv en verzekeraars bij een vlotte afwikkeling, van de verhaalsdossiers is besloten om te komen tot afspraken o.a. forfaitaire, op basis waarvan de verhaalszaken op efficiënte wijze kunnen worden afgewikkeld.
Met de invoering op 1 maart 1997 van de Organisatiewet sociale verzekeringen 1997 zijn de bedrijfsverenigingen en het Tica opgeheven. De taken, maar ook de rechten en plichten zijn overgegaan naar het Landelijk instituut sociale verzekeringen (Lisv). Dit betekent dat het verhaalsrecht aan het Lisv toekomt en dus ook dat de verhaalsvorderingen van de bedrijfsverenigingen over zijn gegaan naar het Lisv. Waar in de oude situatie het verhaalsrecht van de bedrijfsverenigingen werd uitgevoerd door de uitvoeringsinstellingen sociale werknemersverzekeringen (GAK, Cadans, SFB, GUO en USZO), blijven deze uitvoeringsinstellingen het verhaalsrecht uitvoeren maar dan voor het Lisv.
Artikelsgewijze toelichting
Artikel 1
De bepalingen van dit convenant gelden voor verhaalsvorderingen die voldoen aan de volgende criteria.
Convenant tussen het Verbond van Verzekeraars en het Lisv inzake het verhaalsrecht WAO dal. 27 november 1998
• het moet gaan om verhaalsvorderingen op grond van de WAO en de Ziektewet (ZW).
Voor wat betreft verhaalsvorderingen op grond van de WAO gaat het om zowel WAO
dossiers van vóór 1 januari 1998 als om dossiers die na 1 januari 1998 opkomen en gaat
het om vorderingen die betrekking hebben op perioden voor 1 januari 1998 als om
vorderingen die betrekking hebben op perioden na 1 januari 1998.
indien het gaat om reeds door het Lisv bij de verzekeraar ingediende
verhaalsvorderingen, dan moet het gaan om verhaalsvorderingen die nog niet
onherroepelijk zijn afgewikkeld. Dit zijn vorderingen waarbij het door het Lisv gevorderde
bedrag niet of niet geheel door de verzekeraar is betaald. Hieronder vallen ook
verhaalsvorderingen waarop door de verzekeraar het gehele door het Lisv gevorderde
bedrag is betaald, maar alleen dan als dit is geschied onder uitdrukkelijk schriftelijk
voorbehoud van restitutie van hetgeen later blijkt te veel te zijn betaald. In zo'n geval
kunnen de bepalingen van het convenant er toe leiden dat het Lisv een bedrag aan de
verzekeraar moet vergoeden. Bij een reeds enkele jaren lopende WAO‑uitkering zal het
Lisv in het algemeen meerdere vorderingen hebben ingediend die ieder betrekking
hebben op een bepaalde periode waarover WAO is uitgekeerd. Voor de toepassing van
deze bepaling zal bij ieder van die ingediende vorderingen moeten worden nagegaan of
hij wel of niet onherroepelijk is afgewikkeld. Binnen één verhaalsdossier kunnen dus
zowel onherroepelijk afgewikkelde vorderingen (die dan dus niet onder de werking van dit
convenant vallen) als nog niet onherroepelijk afgewikkelde vorderingen zitten (die dus wel
volgens het convenant moeten worden afgewikkeld).
• het moet gaan om verhaalsvorderingen tussen het Lisv en een verzekeraar die heeft ingetekend op het convenant.
Artikel 1, onderdeel b Aan een WAO‑uitkering ging ‑ vóór de invoering van de Wet uitbreiding loondoorbetalingsplicht bij ziekte (Wulbz) ‑ in het verleden over het algemeen een uitkering op grond van de ZW vooraf. Op grond van artikel 52a ZW heeft het Lisv ook voor die uitkering een verhaalsrecht. Op 17 januari 1996 is door het Verbond van Verzekeraars en destijds nog ‑ het Tica het convenant inzake het verhaalsrecht ZW gesloten. Omdat bij het sluiten van dat convenant nog onduidelijk was hoe de onderhandelingen over het verhaalsrecht WAO zouden verlopen, is de reikwijdte van het convenant inzake het verhaalsrecht ZW beperkt gehouden tot verhaalsdossiers waarbij de ZW‑uitkering niet werd gevolgd door een WAO‑uitkering. In de gevallen waarbij de ZW‑uitkering wel wordt gevolgd door een WAO‑uitkering, wordt het verhaalsrecht op de ZW‑uitkering afgehandeld onder het convenant verhaalsrecht WAO. Ook hierbij moet het gaan om nog niet onherroepelijk afgewikkelde vorderingen, tussen het Lisv en een verzekeraar die heeft ingetekend op het convenant verhaalsrecht WAO. Vorderingen die met toepassing van het convenant verhaalsrecht ZW zijn afgewikkeld, zijn onherroepelijk afgewikkeld en vallen dus niet onder de werkingssfeer van het convenant verhaalsrecht WAO. Verhaalsdossiers waarbij de ZWuitkering niet is gevolgd door een WAO‑uitkering, vallen buiten de werkingssfeer van het convenant verhaalsrecht WAO: partijen die op het convenant verhaalsrecht ZW hebben ingetekend dienen deze dossiers volgens voornoemd convenant af te handelen.
Artikel 2
Indien het gaat om verhaalsdossiers WAO die zonder voorbehoud zijn afgedaan vóór de inwerkingtreding van voorliggend convenant, dan zijn de bepalingen van voorliggend convenant niet van toepassing. Een dergelijk voorbehoud moet tussen Lisv en de verzekeraar zijn overeengekomen en (schriftelijk) zijn geaccordeerd. Het convenant heeft geen betrekking op zogenaamde VOA‑claims met een ongevalsdatum vóór 1 januari 1998.
Convenant tussen het Verbond van Verzekeraars en het Lisv inzake het verhaalsrecht WAO dal. 27 november 1998
Artikel 3
Het convenant is bedoeld als een praktische oplossing voor de geschillen tussen verzekeraars en het Lisv over de bruto‑netto kwestie, het civiel plafond (en de invloed van het AAW‑deel van de uitkering daarop) en de medische causaliteit. Deze oplossing is gevonden in een forfaitaire korting op de bruto verhaalsvordering van het Lisv waarmee door verzekeraars afstand wordt gedaan van verdere beperkingen van het verhaal als gevolg van de bruto‑netto kwestie, de toepassing van het civiel plafond (inclusief de invloed van het AAW‑deel van de uitkering daarop) en medische causaliteit. Voor wat betreft laatstgenoemde kwestie is een uitzondering gemaakt voor die gevallen waarbij het medisch gezien duidelijk is dat de tot de WAO‑uitkering aanleiding gevende ziekte of aandoening niet door het ongeval veroorzaakt kan zijn.
In artikel 3 is neergelegd hoe de vergoeding van de verzekeraar aan het Lisv moet worden bepaald als er geen geschilpunten meer zijn over de schuldvraag en / of toerekening en / of verjaring en / of andere weren.
lid 1
Zoals hiervoor reeds is aangegeven moet onderscheid worden gemaakt tussen de periode voor en na invoering van de wet Premiedifferentiatie en marktwerking bij arbeidsongeschiktheidsverzekeringen (Pemba) per 1 januari 1998. Met deze wet zijn de WAO en AAW geïntegreerd tot één arbeidsongeschiktheidsverzekering voor werknemers. Daarmee is de AAW als zelfstandige regeling komen te vervallen. Dat heeft consequenties voor de omvang van het verhaalsrecht WAO.
lid 2
Als het gaat om een gebeurtenis (= ongeval) die zich heeft voorgedaan vóór inwerkingtreding van de wet Pemba, dan zal de (bruto)WAO‑uitkering (inclusief overhevelingstoeslag) worden verminderd met de voor de betreffende jaren geldende brutouitkering op grond van de AAW. De vermelde overhevelingstoeslag wordt ‑ volgens de hierna aangegeven berekeningswijze ‑ naar rato toegerekend aan voornoemde AAWuitkering. Het uitgangspunt daarbij is dat op een eenvoudige en efficiënte wijze door de UVI's claims kunnen worden ingediend waarbij de inhoud van het voorliggende convenant het uitgangspunt is.
De overhevelingstoeslag (OT) is per 1 januari 1990 ingevoerd. Vanaf 1 januari 1998 is het OT‑percentage sterk verlaagd. Er kunnen dan ook drie periodes worden onderscheiden:
• de periode vóór 1 januari 1990;
• de periode tussen 1 januari 1990 en 1 januari 1998;
• de periode vanaf 1 januari 1998.
Op grond van berekeningen is gebleken dat het gemiddelde percentage OT tussen 1990 en 1997 uitkomt op 10,93%. De volgende berekeningswijze vindt plaats:
|
Periode |
Berekeningsmethodiek |
|
periode vóór 1 januari 1990 |
(bruto WAO-uitkering) minus (bruto AAW- |
|
|
uitkering) minus 24% |
|
periode tussen 1 januari 1990 en 1 januari |
(bruto WAO-uitkering plus 10,93%) minus |
|
1998 |
(bruto AAW-uitkering plus 10,93%) minus |
|
|
24% |
|
periode vanaf 1 januari 1998 |
(bruto WAO-uitkering plus 1,7% voor 1998 en |
|
|
2,2% voor 1999) minus (bruto AAW-uitkering |
|
|
plus 1,7% voor 1998 en 2,2% voor 1999) |
|
|
minus 24% |
lid 3
Voor de berekening van de in lid 2 genoemde aftrek wordt voor 1998 en de jaren daarna te verhalen WAO‑uitkeringen uitgegaan van het niveau van de bruto AAW‑uitkering over 1997. Deze zal jaarlijks en op basis van een samengestelde berekening moeten worden vermeerderd met het percentage waarmee in dat jaar het minimumloon en de daaraan gekoppelde sociale uitkeringen zijn aangepast op grond van de Wet koppeling met afwijkingsmogelijkheid (WKA). Door het Verbond en het Lisv gezamenlijk zullen de deelnemers aan het convenant hierover periodiek worden geïnformeerd. lid 4
Indien de tot de WAO‑verhaalsvordering leidende gebeurtenis (= ongeval) plaatsvindt na 1 januari 1998, wordt voor de bepaling van de verhaalsvordering uitgegaan van de bruto WAO‑uitkering plus overhevelingstoeslag (voor 1998: 1,7% en voor 1999: 2,2%). lid 5
Bij het verhaalsrecht op grond van de WAO wordt de (bruto) vordering van het Lisv verminderd met een forfaitaire korting van 24%. Het gaat hier om de vordering voor de krachtens de WAO gemaakte kosten, bedoeld in artikel 90, eerste lid, WAO. lid 6
Bij het verhaalsrecht op grond van de ZW wordt de (bruto) vordering van het Lisv verminderd met een forfaitaire korting van 24%. Dit kortingspercentage was de uitkomst van de onderhandelingen tussen het Verbond van Verzekeraars en ‑ destijds nog ‑ het Tica bij de totstandkoming van het convenant verhaalsrecht ZW. Dit percentage is in het convenant verhaalsrecht WAO overgenomen.
Convenant tussen het Verbond van Verzekeraars en het Lisv inzake het verhaalsrecht WAO dal. 27 november 1998
Artikel 4
lid 1
Partijen mogen geschilpunten ten aanzien van schuld, toerekening, verjaring of andere verweren aanvoeren. Ten aanzien van medische causaliteit zijn de mogelijkheden om weren aan te voeren beperkt. Hierbij wordt verwezen naar hetgeen hieromtrent in lid 2 is opgenomen. lid 2 en 3
Partijen hebben afgesproken dat verzekeraars geen beroep meer toekomt op de zgn. medische causaliteit. Met andere woorden: verzekeraars kunnen zich er niet meer op beroepen dat de arbeidsongeschiktheid (mede) een andere oorzaak heeft dan het ongeval. In drie situaties is beroep op de, medische causaliteit echter nog wèl mogelijk:
a) wanneer het medisch gezien duidelijk is dat de tot de WAO‑uitkering leidende ziekte
of aandoening niet door het ongeval kan zijn veroorzaakt;
b) wanneer zich na het ongeval een ziekte of aandoening openbaart, waarvan het
duidelijk is dat deze ook zonder het ongeval tot arbeidsongeschiktheid zou hebben
geleid; en
c) wanneer het slachtoffer in het jaar voorafgaande aan het ongeval tenminste vier
weken arbeidsongeschikt (i.c. dus ziek thuis) is geweest ten gevolge van een ziekte
of aandoening die volgens de verzekeraar in verband staat met de
arbeidsongeschiktheid na het ongeval. In dat geval komt alleen de (eventuele)
toename van deze arbeidsongeschiktheid door het ongeval voor verhaal in
aanmerking.
Hetzelfde geldt a fortiori voor slachtoffers die ten tijde van de tot de
arbeidsongeschiktheid leidende gebeurtenis reeds over een gedeeltelijke
arbeidsongeschiktheiduitkering beschikten.
De volgende praktijkvoorbeelden kunnen één en ander verduidelijken:
1. Een slachtoffer loopt bij een ongeval een gebroken arm op. Het herstel verloopt
goed. Uiteindelijk raakt hij toch in de WAO door hartproblemen die, na later bleek,
ook al vóór het ongeval latent aanwezig waren.
Hier is een beroep op de medische causaliteit mogelijk, waarschijnlijk uitkomende
op het ontbreken van een dergelijke causaliteit.
2. Een slachtoffer wordt van achteren aangereden en loopt nekklachten op. Hij raakt
volledig arbeidsongeschikt. Achteraf blijkt dat er vóór het ongeval reeds allerlei
psychische problemen waren. Het ongeval was de bekende druppel.
Hier is geen beroep mogelijk op de medische causaliteit, zodat de WAO‑uitkering
volledig verhaalbaar is.
3. Zie 2. Hij was nu echter wèl een half jaar voor het ongeval 6 weken ziek thuis
geweest wegens overspannenheid.
Hier is nog wèl een beroep mogelijk op de medische causaliteit, zodat alleen de
verergering door het ongeval voor verhaal in aanmerking komt.
Convenant tussen het Verbond van Verzekeraars en het Lisv inzake het verhaalsrecht WAO dal. 27 november 1998
Artikel 5
lid 1
Gedurende de looptijd van het convenant zullen partijen geen beroep doen op rechterlijke uitspraken over de hoogte van het civiele plafond, de bruto‑netto problematiek en vragen rondom medische causaliteit mits niet vallend onder de uitzondering, die hierboven in artikel 4, lid 2 is vermeld. Lopende procedures zullen worden beëindigd met compensatie van kosten. lid 2
Deelnemers aan het convenant verhaalsrecht WAO zullen ook geen beroep doen op rechterlijke uitspraken zoals omschreven bij lid 1 waarbij partijen betrokken zijn die niet deelnemen aan het convenant. Artikel
Voor de vaststelling van de omvang van de aangezegde en verschuldigde rente voor de ZWvordering is ‑ in afwijking van hetgeen hieromtrent is bepaald in het ZW‑convenant ‑ gekozen voor een wettelijke rente conform de bepalingen in het Burgerlijk Wetboek, dus ten aanzien van ongevallen die zich na 1 januari 1992 hebben voorgedaan geldt de zogenaamde samengestelde renteberekening (i.c. rente op rente). De wettelijke rente wordt berekend over de te betalen vergoeding (het verschil tussen de op grond van artikel 3, lid 6 vastgestelde vergoeding en de reeds door de verzekeraar betaalde vergoeding).
Voor de vaststelling van de omvang van de aangezegde en verschuldigde rente voor de vordering WAO is gekozen voor een wettelijke rente conform de bepalingen in het Burgerlijk Wetboek, dus ten aanzien van ongevallen die zich na 1 januari 1992 hebben voorgedaan geldt de zogenaamde samengestelde renteberekening (i.c. rente op rente). De wettelijke rente wordt berekend over de te betalen vergoeding (het verschil tussen de op grond van artikel 3, leden 2 tot en met 5 vastgestelde vergoeding en de reeds door de verzekeraar betaalde vergoeding). Artikel 7
In de onderhandelingen tussen het Verbond en het Lisv is ter sprake gekomen de zogenoemde handlingkosten. Hieronder wordt verstaan de kosten die gemaakt moeten worden om de vordering te innen en de kosten die gemaakt moeten worden om de vordering te staven. In de onderhandelingen is in het kader van deze handlingkosten overwogen dat zowel aan de kant van het Lisv als aan de kant van de verzekeraars inspanningen dienen te worden verricht die kosten met zich mee brengen.
Gelet hierop, alsmede gelet op het gevaar dat een verrekening van de handlingkosten een snelle en praktische uitvoering van het convenant belemmert, is in de geest van het convenant besloten dat er over en weer geen handlingkosten in‑ rekening worden gebracht. Alleen bij toepassing van de afkoopregeling (zie art. 10) wordt er een forfaitair percentage handlingkosten berekend. Dit percentage is een onderdeel van de afkoopformule. Artikelen 8 en 9 lid 1
Convenant tussen het Verbond van Verzekeraars en het Lisv inzake het verhaalsrecht WAO dal. 27 november 1998
Uitgangspunt van de onderhandelingen tussen het Verbond en het Lisv was om een oplossing te vinden voor de grote vertraging bij de afwikkeling van de verhaalsdossiers. Nu in dit convenant een praktische oplossing is neergelegd, ligt het ook in de rede om de verhaalsdossiers binnen een redelijke termijn af te wikkelen. Hiertoe zijn de volgende termijnen opgesteld.
Met betrekking tot de vóór 1 november 1998 door de UVI bij de verzekeraar ingediende vorderingen dient het Lisv aan de verzekeraar door middel van een overzicht de vorderingen die zij op de verzekeraar heeft en die conform het convenant dienen te worden afgewikkeld, vóór 1 maart 1999 te melden (art. 8).
In het geval een verzekeraar een vóór 1 november 1998 door de UVI ingediende vordering onder voorbehoud heeft voldaan en er door toepassing van het convenant een schuld bestaat van het Lisv aan de verzekeraar, dan dient de verzekeraar vóór 1 maart 1999 deze vordering aan het Lisv te melden door middel van een overzicht (art. 9).
Als sanctie op het niet vóór 1 maart 1999 melden van een hiervoor bedoelde vorderingen is opgenomen dat voor de niet op tijd aangemelde vordering de wettelijke rente niet wordt berekend over de periode van 1 maart 1999 tot de datum waarop het overzicht wel wordt verstrekt. Ten aanzien van de hier bedoelde vorderingen rust op het Lisv en de verzekeraar een inspanningsverplichting om deze zo spoedig mogelijk te melden.
Na ontvangst van de aanmelding van de vorderingen dienen deze binnen 3 maanden te worden voldaan (art. 8, tweede lid, en art. 9 tweede lid). Artikel 10 lid 1
Voor dossiers die een langdurig karakter hebben en waarvan de verwachting is dat zij stabiel zullen blijven in de mate van arbeidsongeschiktheid, kunnen de deelnemers aan het convenant gezamenlijk besluiten tot de afkoopregeling in plaats van jaarlijks afhandelen. De afkoopregeling is in een bijlage van het convenant opgenomen. lid 2
Indien bij de tweede WAO‑keuring blijkt dat sprake is van een zogenaamde stabiele situatie, dan zijn beide partijen over en weer verplicht over te gaan tot afkoop.
Convenant tussen het Verbond van Verzekeraars en het Lisv inzake het verhaalsrecht WAO dal. 27 november 1998
![]()
lid 3
Lisv en Verbond zijn overeengekomen dat gedurende de looptijd van het convenant de Cfactor (correctie in de afkoopformule op grond van de kans op vooroverlijden en op grond van zgn. individuele omstandigheden) wordt gesteld op 22,5%. De definitieve tekst van deze afkoopformule zal zo spoedig mogelijk door partijen nader vastgesteld worden.
Artikel 11
Het is in het belang van een vlotte afwikkeling van de verhaalsdossiers dat eventuele geschillen die voortvloeien uit dit convenant zo snel mogelijk worden beslecht. Er is gekozen voor de voorlegging aan een hiervoor in te stellen geschillencommissie. De kosten van deze commissie zullen voor ieder de helft door partijen gedragen worden. De samenstelling hiervan wordt gevormd door één vertegenwoordiger van het Verbond en één vertegenwoordiger van het Lisv. Daarnaast benoemen de twee hiervoor genoemde leden gezamenlijk een derde lid van de geschillencommissie. De uitspraak van de geschillencommissie is voor partijen bindend.
Artikel 12
Met het convenant is beoogd de geschillen tussen verzekeraars en het Lisv over de brutonetto kwestie, het civiel plafond en de medische causaliteit praktisch op te lossen. Ten einde de administratieve voordelen voor partijen zo groot mogelijk te doen zijn is afgesproken dat het convenant alleen maar werking heeft wanneer met het convenant een zo groot mogelijk dekkingsgraad wordt bereikt. Deze dekkingsgraad is vastgesteld op ten minste 95% zowel in premie‑inkomen als in aantal bij het Verbond aangesloten verzekeraars, althans voor zover relevant ten aanzien van het WAO‑regres. In de praktijk zal dit vrijwel uitsluitend gaan om motorrijtuigenverzekeraars. Wanneer deze dekkingsgraad niet op 1 februari 1999 is gerealiseerd zullen partijen zo spoedig mogelijk hierover met elkaar in gesprek treden. Aangezien het convenant pas kan worden geëffectueerd op het moment dat de vereiste dekkingsgraad is bereikt dienen de termijnen voor het indienen van de vorderingen met de daarvoor ‑ zo nodig ‑ na 1 december 1998 benodigde periode te worden verlengd.
Artikel 13
Het convenant verhaalsrecht WAO loopt af op 31 december 2000 om 0.00 uur. Ruim voor datum van afloop zullen Lisv en Verbond de werking van het convenant evalueren en met elkaar in onderhandeling treden over de voorwaarden voor voortzetting hiervan.
Convenant tussen het Verbond van Verzekeraars en het Lisv inzake het verhaalsrecht WAO dal. 27 november 1998
BIJLAGE VOOR TOEPASSING VAN DE AFKOOPSOM
Artikel 1 Het Lisv kan in overeenstemming met de tot schadevergoeding verplichte verzekeraar tot vordering van de contante waarde der periodieke verstrekkingen bedoeld in artikel 90, tweede lid, van de Wet op de arbeidsongeschiktheidsverzekering, overgaan.
Artikel 2.
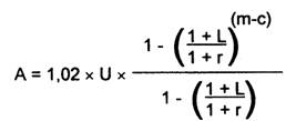
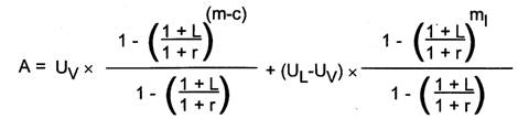
De contante waarde, bedoeld in artikel 1, wordt berekend op basis van de formule:

Of, indien de factor L gelijk is aan de factor r:
A = 1,02 U (m‑c)
waarbij
A = de contante waarde;
U = het bedrag van de verhaalbare periodieke uitkering per jaar;
m = het aantal jaren waarover de periodieke uitkering maximaal zal kunnen worden verstrekt;
c = een correctie op grond van de kans op vooroverlijden en op grond van zgn. individuele omstandigheden;
L = het gemiddeld stijgingspercentage van het dagloon, bedoeld in artikel 15 van de Wet op de arbeidsongeschiktheidsverzekering, over een periode van vier jaar;
r = interest‑percentage;
Artikel 3
1. De factor U, bedoeld in artikel 2 wordt als volgt berekend:
a. de som van de periodieke uitkering per dag, en de daarover aan de uitkeringgenietende toekomende vakantietoeslag, op de dag voorafgaande aan het tijdstip van de vaststelling der contante waarde, wordt verhoogd met de op het moment van vaststelling op die som vallende sociale lasten, voor zover in aanmerking komend voor verhaal als bedoeld in artikel 90 van de Wet op de arbeidsongeschiktheidsverzekering;
b. het onder u verkregen bedrag wordt voor herleiding op jaarbasis vermenigvuldigd met de factor 261;
c. bij de totstandkoming van het bedrag U dient rekening te worden gehouden met de hoogte van de loondervingsuitkering en de (lagere) vervolguitkering. In veel gevallen zal echter de vervolguitkering reeds zijn ingegaan.
2. Het getal m is gelijk aan het aantal jaren gelegen tussen het tijdstip waarop de uitkering van betrokkene zou worden beëindigd wegens het bereiken van de 65‑jarige leeftijd en het begin van de periode waarover wordt afgekocht;
3. De factor c, bedoeld in artikel 2, wordt door Lisv en Verbond van Verzekeraars vastgesteld.
4. De factor L, bedoeld in artikel 2, wordt jaarlijks in de maand december vastgesteld door Lisv en Verbond voor de duur van het volgende boekjaar, waarbij het gemiddelde stijgingspercentage wordt berekend over de aan de maand december voorafgaande periode van vier jaar;
5. De factor r, bedoeld in artikel 2, wordt jaarlijks in de maand december vastgesteld door Lisv en Verbond voor de duur van het volgende boekjaar en is gelijk aan het rekenkundig gemiddelde van het effectief rendement van de vijf staatsleningen met de langste gemiddeld resterende looptijd, gewogen met het uitstaande bedrag van de lening, waarvan publikatie geschiedt door het Centraal Bureau voor de Statistiek.
Artikel 4
De factor (m‑c) wordt afgerond op een decimaal achter de komma en wel zodanig, dat bij een tweede decimaal van vijf of meer een afronding naar boven plaatsvindt en dat overige tweede decimalen van vijf of meer een afronding naar boven plaatsvindt en dat overige tweede decimalen niet in aanmerking worden genomen.
Artikel 5
Bij de vaststelling van de factor c worden in elk geval de overlevingskansen in aanmerking genomen aan de hand van de laatstelijk door het Centraal Bureau voor de Statistiek gepubliceerde, volgens Makeham afgeronde sterftafel Gehele Bevolking Mannen (GBM) of Gehele Bevolking Vrouwen (GBV), samengesteld onder auspiciën van de Actuarieel Genootschap en voorts ‑ voor zover relevant ‑ de individuele omstandigheden bedoeld in artikel 2.
Artikel 6
De factor (1+L) / (1+r) wordt afgerond op twee decimalen achter de komma en wel zodanig dat bij een derde decimaal van vijf of meer een afronding naar boven plaatsvindt en dat overige derde decimalen niet in aanmerking worden genomen.
|
|
Lisv
Aan de deelnemers van het convenant verhaalsrecht WAO
WAO 2000102
Onze referentie Den Haag
2000schade/1203/ewent 26 april 2000
Betreft
Afwikkeling afkoopsommen van het GAK op basis van het WAO‑convenant. Betaling voor 1 juni 2000.
Geachte dames en heren,
In de circulaire van 23 maart 2000 (WAO 2000/01) is u toegezegd dat u geïnformeerd wordt over verdere afwikkeling van de afkoopsommen van het GAK met betrekking tot het verhaalsrecht WAO. Het Verbond van Verzekeraars en het Lisv (onderhandelingspartner namens het GAK) zijn het volgende overeengekomen om uit de impasse te geraken. De overeenkomst geldt uitsluitend voor afkoopsommen van het GAK die zijn ingediend in het jaar 1999. Over deze afkoopsommen wordt vanaf 15 september 1999 met een rentepercentage van 5,3 % per jaar gerekend tot de datum van betaling. Dit percentage is het gemiddelde van de rente waarmee de contante waarde is berekend en de geldende wettelijke rente.
Dit percentage geldt voor de openstaande afkoopsom die vóór 1 juni 2000 aan het GAK wordt betaald. Bij betaling na 1 juni 2000 wordt vanaf 15 september 1999 de wettelijke rente gerekend tot aan de datum van betaling.
Nadere informatie:
Het gaat om de afkoopsommen die door het GAK in het jaar 1999 zijn ingediend. Om tot een ongecompliceerd voorstel te komen hebben beide partijen ingestemd een gemiddelde datum van indienen te hanteren. Om die datum te bepalen is gebruik gemaakt van overzichten van
het GAK en verzekeraars. Uit die overzichten blijkt dat 15 juni 1999 die gemiddelde datum is.
Bij deze datum worden dan betalingstermijn van drie maanden opgeteld waarna de gemiddelde datum op 15 september 1999 wordt vastgesteld.
Rekenvoorbeeld: Voorstel afkoopsom geclaimd door het GAK ontvangen in 1999 ten bedrage van fl 100.000,‑‑. De claim voor de afkoopsom wordt door de verzekeraar betaald op 15 mei 2000. De rente loopt _ van 15 september 1999 tot 15 mei 2000. Dit zijn 243 dagen.
(243 / 366) = 0.6639 * 5,3% = 3,51885% 3,51885% rente over fl.100.000,‑‑ is fl. 3518,85 de te betalen afkoopsom inclusief rente wordt fl. 103.518,85
Wij vertrouwen erop u voldoende te hebben geïnformeerd. Over verdere ontwikkelingen met betrekking tot het convenant houden wij u op de hoogte.
Met vriendelijke groet,
Informatie bij Lisv: mevrouw mr. R.C. Eijer, 020 ‑ 504 75 02
Informatie bij Verbond van Verzekeraars: mevrouw drs. N. van den Hoff Doorkiesnummer (070) 3338665 Fax rechtstreeks (070) 3338600 E‑mail nhoffwerzekeraars.nl Bordewijklaan 2, 2591 XR, Postbus 93450, 2509 AL Den Haag. Internet www.verzekeraars.nl
mevrouw mr. L.R.R.Rath de heer mr. M.J.P.M. Kievit
secretaris adjunct‑directeur Lisv
2000schade/1203/ewent 2.
Landelijk instituut sociale verzekeringen
VERBOND VAN VERZEKERAARS
Lisv
Aan de deelnemers van het convenant verhaalsrecht WAO
Onze referentie Den Haag
2000schade/1073/ewent 5 april 2000
Betreft
convenant verhaalsrecht WAO
Geachte dames en heren,
Ter verbetering van de communicatie over het convenant verhaalsrecht WAO, hebben het Lisv en het Verbond van Verzekeraars afgesproken om alle toekomstige berichtgevingen met betrekking tot het convenant verhaalsrecht gezamenlijk te doen. Dit houdt in dat alle afspraken tussen het Verbond‑en het Lisv‑middels een‑gezamenlijke brief aan de deelnemende‑verzekeraars en de uitvoeringsinstellingen bekend zullen worden gemaakt. Onderhavige brief is hiervan het eerste voorbeeld. Op deze manier trachten het Verbond en het Lisv te voorkomen dat er interpretatieverschillen ontstaan over de gemaakte afspraken bij de achterban.
Afkoopformule
Het Verbond en het Lisv hebben geconstateerd dat er met betrekking tot het lopende convenant verhaalsrecht WAO zich een aantal knelpunten in de uitvoering voordoen. Eén van deze knelpunten is de afkoopformule. In het najaar van 1999 hebben wij u geïnformeerd over de nieuwe afkoopformule. Onderhavige afkoopformule is eveneens aan de Staatssecretaris van Sociale Zaken en Werkgelegenheid (SZW) voorgelegd met het advies om de aangepaste afkoopformule in de ministeriële beschikking ex artikel 90 WAO op te nemen. Doordat de publikatie van de nieuwe afkoopformule door het Ministerie op zich laat wachten, is er zowel aan de kant van de verzekeraars als de uitvoeringsinstellingen onduidelijkheid ontstaan over welke formule nu toegepast moet worden. Om uit deze impasse te komen, hebben het Verbond en het Lisv de volgende afspraak gemaakt:
Tot het moment dat de nieuwe afkoopformule in de Staatscourant is gepubliceerd, zullen de verzekeraars en de uitvoeringsinstellingen de afkoopformule hanteren, zoals deze op dit moment in de ministeriële beschikking is bepaald. Met andere woorden: de "oude" afkoopformule wordt gehanteerd.
Informatie bij Lisv: mevrouw mr. R.C. Eijer, 020 ‑ 504 75 02
Informatie bij Verbond: mevrouw drs. N. van den Hoff Doorkiesnummer (070) 3338665 Fax rechtstreeks (070) 3338600 E‑mail nhoff@verzekeraars.nl Bordewijklaan 2, 2591 XR, Postbus 93450, 2509 AL Den Haag, Internet www.verzekeraars.nl
L en r factoren voor het boekjaar 2000
Op grond van artikel 90, tweede lid, WAO heeft de Staatssecretaris van Sociale Zaken en Werkgelegenheid regels gesteld met toepassing waarvan het Lisv in plaats van het bedrag per periodieke verstrekkingen de contante waarde daarvan kan vorderen.
Een tweetal factoren uit de zogenaamde afkoopformule, te weten de factoren L en r, worden door het Lisv vastgesteld. Het Lisv heeft, in overleg met het Verbond, de factoren L (= gemiddeld stijgingspercentage dagloon) en r (= interest‑percentage) voor het boekjaar 2000 berekend. De factor L bedraagt 2,38% en de factor r 5,42%. Het Lisv besluit tot vaststelling van de factoren L en r voor het boekjaar 2000 zal in de Staatscourant worden gepubliceerd en werkt terug tot en met 1 januari 2000.
Geschillencommissie convenant verhaalsrecht WAO
Met betrekking tot de geschillencommissie kunnen we u het volgende melden. De commissie heeft een concept‑reglement opgesteld. Het Lisv en het Verbond hebben ten aanzien van dit concept‑reglement een aantal opmerkingen geplaatst. Het betreft hier opmerkingen over de ontvankelijkheid van geschillen en de financiering van de commissie door partijen die het geschil voorleggen. Op korte termijn zullen het Lisv en het Verbond in overleg treden met de geschillencommissie om tot een definitief reglement te komen.
Wij vertrouwen erop met dit gezamenlijk schrijven u voldoende te hebben geïnformeerd.
Met vriendelijke groet,
mevrouw mr. L.R.R. Rath de heer mr. M.J.P.M. Kieviet
secretaris adjunct‑directeur
|
VERBOND VAN VE R Z E K E R A A R S `Sector Schadeverzekering |
|
Onze referentie Den Haag 20001zr/39/pjans 27 januari 2000 Gevraagde actie Ter kennisneming. Stand van zaken uitvoering convenant verhaalsrecht WAO Met circulaire van 13 september jl. hebben wij u laatstelijk geïnformeerd over de stand van zaken met betrekking tot het overleg met het Landelijk instituut sociale verzekeringen (Lisv) over een aantal technische kwesties rondom de uitvoering van het convenant verhaalsrecht WAO. Het betreft hier de opzet van de geschillencommissie convenant verhaalsrecht WAO, de problematiek rondom de door het GAK gehanteerde berekeningsmethodiek en de opzet en vormgeving van afkoopformule. Een van de punten waarover nog duidelijkheid moest komen betreft de vormgeving van de afkoopformule WAO en hieraan gekoppeld de vaststelling van de factoren L en r van deze formule. Laatstgenoemde factoren zijn voor .1999 inmiddels vastgesteld. In deze circulaire wordt hierop nader ingegaan. Daarnaast. geven wij u de ‑stand van zaken met betrekking tot de afwikkeling van verhaalsclaims WAO die door GAK Uitvoeringsinstelling worden ingediend. In overleg met het Landelijk instituut sociale verzekeringen (Lisv) is de afkoopformule inmiddels aangepast en vastgesteld. Echter, tot het moment waarop de nieuwe aangepaste formule tot een nieuwe ministeriële regeling wordt omgevormd en gepubliceerd, adviseren wij u dringend afkoopzaken zoals bedoeld in artikel 11 van het convenant af te handelen volgens de thans geldende afkoopformule die in een ministerieel besluit is neergelegd. In bijlage I, II en III treft u een kopie van deze formule aan alsmede een overzicht van de factoren L en r zoals die afgelopen jaren zijn gepubliceerd in de Staatscourant. In Staatscourant nummer 182 van 22 september 1999 is de hoogte van de factoren L en r voor 1999 vastgesteld. Voor 1999 is de factor L bepaald op 1,63% en de factor r op 4,59%. Wij wijzen u tenslotte op het feit dat bij de toepassing van deze formule een c‑factor geldt van 22,5% (zie art. 10 van het convenant). Het Lisv zal een bericht van dezelfde strekking zenden aan de uvi's. In het geval afkoopzaken reeds zijn afgehandeld tussen verzekeraars en uvi's, is met Lisv afgesproken dat deze niet meer opnieuw zullen worden berekend maar worden beschouwd als afgesloten dossiers.
Informatie: drs. P.L.M. Janssen Doorkiesnummer (070) 3338605 Fax rechtstreeks (070) 3338630 E‑mail pjans®verzekeraars.nl Bordewijklaan 2, 2591 XR, Postbus 93450, 2509 AL Den Haag, Internet www.verzekeraars.org |
|
|
|
|
|
Zodra de nieuwe aangepaste formule officieel in een ministeriële beschikking is neergelegd en met het Lisv afspraken zijn gemaakt over de implementatie hiervan, zullen wij u dat terstond melden.
Voorts wordt momenteel druk overleg gevoerd met het Lisv over de afwikkeling van verhaalsclaims WAO die door het GAK worden ingediend. Gewerkt wordt aan een oplossing op korte termijn waarover wij u binnenkort hopen te kunnen informeren. Tot die tijd handhaaft het Verbond van Verzekeraars het dringende advies zoals neergelegd in voornoemde circulaire van 13 september jl. Deze claims kunnen pas dan definitief worden afgewikkeld na ontvangst van opgaven conform de in het convenant neergelegde berekeningsmethodiek. Om renteclaims te voorkomen geeft het Verbond u in overweging om voorlopige betalingen te doen die zoveel mogelijk de hoogte van de nog te ontvangen gecorrigeerde regresclaims benaderen, dat wil zeggen overeenkomend met de in het convenant neergelegde berekeningsmethodiek. Het Verbond van Verzekeraars geeft u tenslotte het dringende advies om WAO‑regresclaims, die door de uitvoeringsinstellingen sociale werknemersverzekeringen (uvi's) worden ingediend en waarbij de ongevalsdatum ligt na 1 januari 1998, af te handelen langs de lijnen zoals neergelegd in het convenant. Hier speelt immers de hiervoor geschetste problematiek niet aangezien hier geen AAW‑aftrek plaatsvindt.
Tenslotte delen wij u mede dat in artikel 3 van het convenant verhaalsrecht WAO is neergelegd dat bij een tot de regresvordering leidende gebeurtenis vóór 1 januari 1998 de bruto uitkering op grond van de WAO wordt verminderd met de voor de betreffende jaren geldende AAWuitkering. Voor de in de jaren 1998 en volgende te verhalen WAO‑uitkeringen wordt uitgegaan van het niveau van de bruto AAW‑uitkering over 1997, jaarlijks en op basis van een samengestelde berekening te vermeerderen met het percentage waarmee in dat jaar het minimumloon en de daaraan gekoppelde sociale uitkeringen zijn verhoogd op grond van de WKA. Het Verbond van Verzekeraars en het Lisv hebben over dit punt overleg gevoerd en zijn tot de conclusie gekomen de AAW‑grondslag te berekenen op basis van de grondslag voor de WWuitkering voor individuen van 23 iaar en ouder. Ter informatie is in bijlage IV bij deze circulaire de passage toegevoegd uit de mededeling van het Lisv aan de uvi's hieromtrent. |
|
|
|
mevrouw mr. L. Rath secretaris |
|
Bijlagen
Izr139/pjans |
|
BIJLAGE 1
|
Overige regelg./Min. eeg. 308
De Staatssecretaris van Sociale Zaken,
Gelet op artikel 41, tweede lid, van de Algemene Arbeidsongeschiktheidswet en artikel 50, tweede lid, van de Wet op de arbeidsongeschiktheidsverzekering,
Art. 1. Indien de bedrijfsvereniging van oordeel is of vermoedt dat tot intrekking of verlaging van de arbeidsongeschiktheidsuitkering dient te worden overgegaan, is zij bevoegd de uitbetaling van de arbeidsongeschiktheidsuitkering of van een gedeelte daarvan, indien het de eerste uitbetaling betreft, op te schorten of, indien het latere uitbetalingen betreft, te schorsen.
Art. 2. De beschikking van de Minister van Sociale Zaken en Volksgezondheid van 29 juni 1967, no. 57 906 (Stcrt. 1967, no. 128) wordt ingetrokken.
Art. 3. Deze beschikking, die in de Staatscourant zal worden geplaatst, treedt in werking met
ingang van 1 oktober 1976.
BESCHIKKING van de Staatssecretaris van Sociale Zaken van 29 december 1980, no. 56 453, inzake vaststelling regelen ex art. 90, tweede lid, van de WAO (Stcrt. 1980)
De Staatssecretaris van Sociale Zaken,
Overwegende dat de contante waarde van de periodieke uitkeringen meer in overeenstemming met de te verwachten ontwikkeling van die uitkeringen moet worden vastgesteld;
Gelet op artikel 90, tweede lid, van de Wet op de arbeidsongeschiktheidsverzekering (Stb. 1977, 492);
Besluit:
Art. 1. De bedrijfsvereniging kan in overeenstemming met de tot schadevergoeding verplichte derde eerst tot vordering van de contante waarde der periodieke verstrekkingen bedoeld in
artikel 90, tweede lid, van de Wet op de arbeidsongeschiktheidsverzekering, overgaan, indien de
309
Gemeenschappelijke Medische Dienst, daartoe door de bedrijfsvereniging geraadpleegd, van oordeel is, dat ten aanzien van de uitkeringgenietende met betrekking tot de mate van zijn arbeidsongeschiktheid een geconsolideerde toe stand is ingetreden.
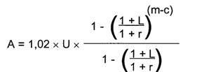
Art. 2. De contante waarde, bedoeld in artikel 1, wordt berekend op basis van de formule:

Of, indien de factor L gelijk is aan de factor r:
A = 1,02 U (mc)
waarbij
A = de contante waarde;
U = het bedrag van de periodieke uitkering per jaar;
m = het aantal jaren waarover de periodieke uitkering maximaal zal kunnen worden verstrekt;
c = een correctie op grond van de kans op vooroverlijden en op grond van zgn. individuele om
standigheden;
L = het gemiddeld stijgingspercentage van het dagloon, bedoeld in artikel 15 van de Wet op de
arbeidsongeschiktheidsverzekering, over een periode van vier jaar;
r = interestpercentage;
Art, 3,
1) De factor U, bedoeld in artikel 2, wordt als volgt berekend:
a. de som van de periodieke uitkering per dag, en de daarover aan de uitkeringgenietende toeko
mende vakantietoeslag, op de dag voorafgaande aan het tijdstip van de vaststelling der contante
waarde, wordt verhoogd met de op het moment van vaststelling op die som vallende sociale lasten, voor zover in aanmerking komend voor verhaal als bedoeld in artikel 90 van de Wet op de arbeidsongeschiktheidsverzekering;
b. het onder a. verkregen bedrag wordt voor de herleiding op jaarbasis vermenigvuldigd met de
factor 261;
2) Het getal m is gelijk aan het aantal jaren gelegen tussen het tijdstip waarop de uitkering van
betrokkene zou worden beëindigd wegens het bereiken van de 65-jarige leeftijd en het begin van de periode waarover wordt afgekocht;
3) De factor c, bedoeld in artikel 2, wordtper geval door de desbetreffende bedrijfsvereniging en de tot schadevergoeding verplichte derde in onderling overleg vastgesteld, onverminderd de bevoegdheid van de bedrijfsverenigingen om met (groepen van) assuradeuren hieromtrent gezamenlijke regelingen te treffen, welke regelingen dan de goedkeuring behoeven van de Sociale Verzekeringsraad, gehoord het Arbeidsongeschiktheidsfonds;
4) De factor L, bedoeld in artikel 2, wordt jaarlijks in de maand december vastgesteld door de Sociale Verzekeringsraad voor de duur van het volgende boekjaar, waarbij het gemiddelde stijgingspercentage wordt berekend over de aan de maand december voorafgaande periode van vier jaar;
5) De factor r, bedoeld in artikel 2, wordt jaarlijks in de maand december vastgesteld door de Sociale Verzekeringsraad voor de duur van het volgende boekjaar en is gelijk aan het gemiddeld effectief rendement voor de voorafgaande maand november van de vijf staatsleningen met de langste gemiddeld resterende looptijd waarvan publikatie geschiedt door het Centraal Bureau voor de Statistiek.
Art. 4. Bij de toepassing van deze beschikking wordt de factor (m-c) afgerond op een decimaal
achter de komma en wel zodanig, dat bij een tweede decimaal van vijf of meer een afronding
naar boven plaatsvindt en dat overige tweede decimalen niet in aanmerking worden genomen.
Art. 5. Bij de vaststelling van de factor c worden in elk geval de overlevingskansen in aanmer-
king genomen aan de hand van de laatstelijk door het Centraal Bureau voor de Statistiek gepubliceerde, volgens Makeham afgeronde sterftetafel Gehele Bevolking Mannen (GBM) of.Gehele Bevolking Vrouwen (GBV), samengesteld onder auspiciën van het Actuarieel Genootschap en voorts - voor zover relevant - de individuele omstandigheden bedoeld in artikel 2,
AIdus ingaande 1 augustus 1990 gewijzigd bij Min. Reg. van 10 juli 1990, no. 90 1208, Srerr. 135. Zie toelichting op blz. 312.
Art. 6. De factor 1 + L wordt afgerond op
1 + r
twee decimalen achter de komma en wel zodanig dat bij een derde decimaal van vijf of meer een afronding naar boven plaatsvindt en dat overige derde decimalen niet in aanmerking worden genomen.
Art. 7. Een regeling van de vaststelling van de contante waarde, welke van de in de voorgaande
artikelen gegeven grondslagen afwijkt, behoeft de goedkeuring van het bestuur van het Arbeidsongeschiktheidsfonds.
Art. 8. Het besluit van de Minister van Sociale Zaken en Volksgezondheid van 21 augustus 1969, no. 53 488, Stcrt. 1969, 167, wordt ingetrokken.
Art. 9. Dit besluit treedt in werking op 1 januari 1981.
Toelichting
Teneinde te bereiken dat de contante waarde van de periodieke uitkeringen meer in over
eenstemming is met de te verwachten ontwikkeling van die uitkeringen, is in de herziene beschikking uitgegaan van de formule, vermeld in artikel 2. De toekomstige ontwikkeling van die uitkeringen is hiertoe telkenmale gelijkgesteld aan het gemiddeld stijgingspercentage van het dagloon ex artikel 15 WAO over de afgelopen periode van vier jaar.
Bij het opnemen van de formule in de beschikking hebben met name de volgende uitgangspunten een rol gespeeld:
a. afkoop mag geen eenzijdig voor- of nadeel opleveren ten koste, respectievelijk ten bate van
de andere partij;
b. het principe van „de veroorzaker/vervuiler betaalt" dient te worden toegepast;
c. inconsistenties tussen verhaal ex artikel 90, eerste lid WAO en afkoop ex artikel 90, tweede lid dienen te worden weggenomen;
d. individuele omstandigheden dienen mede in aanmerking te worden genomen.
Met de formule is beoogd een zodanig resultaat te bereiken dat voor beide, bij de afkoop betrokken partijen geen obstakels meer in de weg staan om tot afkoop over te gaan. In dit verband wil ik nogmaals de wenselijkheid van het afkopen en
Overige regelg./Min. rog. 312
het belang dat daarmee voor de betrokken partijen is gediend, benadrukken.
Gelet op het voorgaande, heb ik gemeend bij de factor c, staande voor de kans op vooroverlijden (de kans om voor het 65e levensjaar te overlijden) alsmede voor de zgn. individuele omstandigheden, waaronder ik in het kader van de factor c onder meer omstandigheden reken de kans op (verdergaande) invalidering door andere oorzaken, de kans op werkloos worden, de kans op repatriëring van buitenlandse werknemers vóór het 65e levensjaar en de kans op gebruikmaking van een regeling tot vervroegd uittreden, de mogelijkheid van een forfaitaire regeling open te houden, ter bevordering van een vlotte afdoening van zaken en ter vermijding van evt. langdurige onderhandelingen op dit punt. In het verlengde hiervan zal bij collectieve overeenkomst afstand kunnen worden gedaan van het zgn. civiel plafond.
Een dergelijke nadere regeling zal evenwel door partijen zelf tot stand moeten worden gebracht.
Ten slotte merk ik op dat het Arbeidsongeschiktheidsfonds voornemens is de werking van
de beschikking in de komende vier jaar te evalueren, opdat beoordeeld kan worden of en in hoeverre e.e.a. daadwerkelijk bevredigend functioneert. Uit de evaluatie zal kunnen blijken of en in hoeverre de beschikking wijziging behoeft.
De organisaties van partijen zullen worden uitgenodigd in deze evaluatie te participeren.
Toelichting
Bij Min. reg. van 10 juli 1990, no. 90/1208, Stcrt.135, zie noot op blz. 310
Met het besluit van 29 december 1980, no. 56453, Stcrt. 1980, 253 zijn de regels herzien voor
de wijze van berekening van de contante waarde der periodieke verstrekkingen, bedoeld in artikel 90, tweede lid van de Wet op de arbeidsongeschiktheidsverzekering. Deze contante waarde wordt berekend met toepassing van de in het besluit onder artikel 2 opgenomen formule.
Ingevolge artikel 3, vijfde lid, van het besluit dient de factor r uit deze formule gelijk te zijn aan
313 Overige regelg./Min. rog.
het gemiddeld rendement voor de maand november van het kalenderjaar voorafgaand aan het jaar waarop de vaststelling van de factor r betrekking heeft, van de nieuwste drie staatsleningen waarvan publikatie geschiedde door het Centraal Bureau voor de Statistiek. Inmiddels is echter bekend geworden dat bedoeld rendement niet meer representatief is te achten voor langlopende vermogenstitels. De oorzaak hiervan is dat de Staat sedert een aantal jaren geen obligatieleningen meer heeft geplaatst die onder de definitie van dit rendement vallen. Als alternatief voor dit rendement wordt door de Sociale Verzekeringsraad geadviseerd uit te gaan van het gemiddeld effectief rendement van resterende de vijf staatsleningen met de langste looptijd. In het onderhavige besluit is deze wijziging valt de formule van het rendement opgenomen.
BESLUIT van de Staatssecretaris van Sociale Zaken en Werkgelegenheid drs. de beschikking van 8 april 1982, no. 52 738, inzake nadere regelen ingevolge art. 40, derde lid, van de WAO in verband met arbeidsongeschiktheidsverzekering (Stcrt. 1982, 80). '
De Staatssecretaris van Sociale Zaken en Werkgelegenheid drs. C. I. Dalos;
Gelezen het advies van de Sociale Verzekeringsraad van 18 juni 1981, no. 81/3688;
Gelet op artikel 40, derde lid, van de Wet op de arbeidsongeschiktheidsverzekering;
Besluit:
Art. 1. Voor de toepassing van dit besluit wordt verstaan onder:
a) AAW.' Algemene Arbeidsongeschiktheidswet (Stb. 1980, 28);
b) WAO: Wet op de arbeidsengeschiktheidsverzekering (Srb. 1977, 492);
c) WSW: Wet Sociale Werkvoorziening (Stb.1967, 687).
704
Artikel XXVIII
In artikel 15a van het Besluit overgangsregels werkloosheidswetten stelselherziening sociale
zekerheid, wordt „De bedrijfsvereniging" vervangen door: Het Landelijk instituut sociale
verzekeringen.
Artikel XXIX
Het Besluit van 23 december )986. houdende vergoedingen Algemeen Arbeidsongeschiktheidsfonds aan Arbeidsongeschiktheidsfonds wordt als volgt gewijzigd.
A. In artikel I, onderdeel e, wordt bedrijfsvereniging: bedrijfsvereniging, die" vervangen
door: Landelijk instituut sociale verzekeringen:
het Landelijk instituut sociale verzekeringen, dat aan het Algemeen Arbeidsongeschiktheidsfonds en het arbeidsongeschiktheidsfonds op een door
het Algemeen arbeidsongeschiktheidsfonds en het Arbeidsongeschiktheidsfonds aan te geven
wijze" vervangen door: het Landelijk instituut sociale verzekeringen met betrekking tot het
Algemeen arbeidsongeschiktheidsfonds en het arbeidsongeschiktheidsfonds aan Onze Minister en het College van toezicht sociale verzekeringen op een door hem aan te geven wijze.
57. De Wet op de arbeidsongeschiktheidsverzekering
Artikel XXXI
Het Besluit van juli 1990, houdende vordering centante waarde periodieke verstrekking
Wet op de arbeidsongeschiktheidsverzekering (Stcrt. 135) wordt als volgt gewijzigd.
A
1. In artikel 1 wordt „De bedrijfsvereniging" vervangen door: Het Landelijk instituut sociale verzekeringen.
2. In artikel 1 wordt ,,de Gemeenschappelijk Medische Dienst, daartoe door de bedrijfsvereniging geraadpleegd" vervangen door: het Landelijk instituut sociale verzekeringen.
B.
1. In artikel 3, derde lid, wordt „de desbetreffende bedrijfsvereniging" en „de bedrijfsverenigingen" vervangen door: het Landelijk instituut sociale verzekeringen.
2. In artikel 3, derde lid, vervalt de zinsnede „welke regelingen dan de goedkeuring behoeven
van de Sociale Verzekeringsraad, gehoord het Arbeidsongeschiktheidsfonds".
3. In artikel 3. vierde en vijfde lid, wordt „de Sociale Verzekeringsraad" vervangen door: het
Landelijk instituut sociale verzekeringen.
C. Artikel vervalt.
§ l2 Slotartikel
Artikel L
Indien het bij koninklijke boodschap van 9 september 1996 ingediende voorstel van wet
(Organisatiewet sociale verzekeringen 1997, Kamerstukken fI ! 996197, 24 877) tot wet wordt
verheven en in werking treedt, treedt dit besluit op hetzelfde tijdstip in werking.
's-Gravenhalte. 25 februari 1997.
De Staatssecretaris voornoemd,
F.H.G. de Grave.
TOELICHTING
Met de Organisatiewet sociale verzekeringen 1997 (Osv 1997) worden de veranderingen die
met de Osv in gang zijn gezet voortgezet. De taken van de bedrijfsverenigingen allen worden
overgenomen door het nieuw in te stellen Landelijk instituut sociale verzekeringen (Lisv).
|
|
|
BIJLAGE III '
Verhaal van kosten door hel Lisv eigen risico. drager |
|
‑ |
|
Regelgeving
Jrtar. Factor L Factor r besluit Gepubliceerd
1982 3,41% 11,87% 81!7771 van 17 december 1981 Stcrt. 1983 4,1296 8,89% 8?/8703 van 3 januari 1983 ‑ 1984 3389'0 8,57% 83/8173 van 21 december 1983 Stcrt. 1983, 1985 0.75% 7,65% 84/8534 van 13 december 1984 1986 1,67 7,01% 8518989 van 8 januari 1986 ‑ 1987 0,25% 6 30% 86!08555 van 8 januari 1987 1988 0,00% 637% 87/8183 van 8 januari 1908 1989 0,00% 65% 8918915 van 5 januari 1989 ‑ 1990 _ 1991 0,67% 9,13% 90111919 van 18 december 1990 Srcrr. 1990, 253 1992 1.42% 8,73% ‑ 1993 2,14% 7,51% 93258 van 21 januari 1993 Stort 1993, 18 1994 2,14% 6,17% 936110 van 29 december 1993 Stort. 1993. 251 1995 1,50% 7,79% 946390 van 14 december 1994 5tcrr. 1995, 8 , 1998 0,92% 5,71% 4 maan 1998 Stort. 1998. 58
|
|
Convenant van 27 november 1998 tussen het Verbood van Verzekeraars en het Lisv intake het verhaalsrecht WAO, geldend van 1 december 1998 tot en met 31 december |
|
2000 om 0_00 uur (Mededeling Lisv M. 98.134 van 9 december 1998).
‑ Het Landelijke instituut sociale verzekeringen (Lisv) heeft op grond van art. 90, lid 1 van de Wet op de Arbeidsongeschiktheidsverzekering (WAO) voor de krachtens de WAO gemaakte kosten een verhaalsrecht op degene, die in verband met het veroorzaken van ongeschiktheid toe werken jegens de uitkeringsgerechtigde naar burgerlijk recht tot schadevergoeding is verplicht. Het Lisv en de verzekeraars verschillen van mening omtrent de omvang van het verhaalsrecht De afwikkeling van verhaalsvorderingen loopt hierdoor grote vertraging op. Het een en ander leidt tot hoge (extra) kosten voor beide partijen. ‑ Het Lisv en het Verbond van Verzekeraars hebben zich vanuit die positie gebogen over een praktische oplossing voor de afwikkeling van verhaalsvorderingen. waarvan de uitkomst in dit convenant is neergelegd. ‑ ‑ Met het afsluiten van het convenant beogen bet Lisv en het Verbond van Verzekeraars om lopende en toekomstige zaken op een voor beide partijen doelmatige en acceptabele wijze af te handelen. De werking van het convenant strekt zich uit over alle lopende dossiers tot en met 31 december 1997 alsmede de dossiers (WAO c.q. WAO‑Pemba) met een ongevalsdatum die ligt in de jaren 1998, 1999 en 2000. Door het afsluiten van het convenant ontstaat duidelijkheid voor beide partijen over de omvang van de schadevergoeding voor zowel oude als nieuwe dossiers. ‑ Met het afsluiten van het convenant worden discussies op dossierniveau alsmede langdurende en kostbare juridische procedures vermeden waardoor besparingen optreden op (uitvoerings)kosten. ‑ De uitvoering van het convenant aan de zijde van het Lisv zal onder verantwoordelijkheid van het Lisv plaatsvinden door de uitvoeringsinstellingen sociale werknemersverzekeringen.
WAO ‑Suppl. 97 (januari 1999) [WAO] Art‑90‑11 |
|
5 |
|
6. Vervolgtraject
Aan de hand van de bestuurlijke besluitvorming over de aanpassingsvoorstellen van het Verbond van Verzekeraars, zal er nader overleg moeten plaatsvinden met het Verbond. Als het Lisv en het Verbond overeenstemming bereiken over een aangepaste afkoopformule, zal een tweetal acties moeten worden ondernomen, te weten: • Wijzigingen in de afkoopformule zullen aan de Staatssecretaris moeten worden voorgelegd met het verzoek de formule in de beschikking aan te passen; • Het Lisv en het Verbond zullen nadere afspraken moeten maken over de implementatie van de aangepaste formule. |
|
6 |
Landelijk instituut sociale verzekeringen
L i s v,
Commissie verzekeringszaken (CVZ) o9‑o9‑1999 CVZ 3/692
Afronding convenant verhaalsrecht WAO
Inleiding
Op 27 november 1998 hebben het Lisv en het Verbond van Verzekeraars een convenant verhaalsrecht WAO afgesloten. Met dit convenant beogen het Lisv en het Verbond van Verzekeraars om lopende en toekomstige zaken op een voor beide partijen doelmatige en acceptabele wijze af te handelen en wordt er een einde gemaakt aan de geschillen die reeds jaren bestaan over de vraag of het verhaalsrecht zich uitstrekt over de brutouitkering of de netto‑uitkering (de zogenaamde bruto/netto problematiek).
Het convenant verhaalsrecht WAO is per t december 1998 inwerking getreden en loopt af op 31 december 2000. De werking van het convenant strekt zich uit over alle lopende dossiers tot en met 31 december 1997 alsmede de dossiers (WAO c.q. WAO‑Pemba) met een ongevalsdatum die ligt in de jaren 1998, 1999 en 2000 Het convenant is bindend voor enerzijds het Lisv en de uitvoeringsinstellingen en anderzijds het Verbond van Verzekeraars en de aansprakelijkheidsverzekeraars die hebben ingetekend op dit convenant. De uvi's zullen de verhaalsvorderingen bij aansprakelijkheidsverzekeraars afhandelen onder een vaste forfaitaire aftrek van 24%. Het aanbieden van een forfaitaire aftrek van 24% op de bruto verhaalsvordering heeft derhalve betrekking op:
• besparingen in de uitvoeringskosten
• besparing afzien van juridische procedures;
• waardering voor een snelle afdoening Voorwaarde voor het effectueren van het convenant was dat aan de kant van het Verbond van Verzekeraars een dekkingsgraad naar zowel premie‑inkomen als het aantal bij het Verbond aangesloten verzekeraars ‑ voor zover relevant ten aanzien van het WAO‑regres van ten minste 95% werd bereikt.
Bij de inwerkingtreding van het convenant moest een aantal onderwerpen nader worden ingevuld c.q. bestudeerd, te weten:
• instellen van een geschillencommissie;
• formule afkoopsom WAO;
• bepalen van de L en r factoren in de afkoopformule;
• berekening van het fictieve AAW‑bedrag. In onderhavige notitie worden bovenvermelde onderwerpen nader uiteengezet.
2. Geschillencommissie convenant verhaalsrecht WAO
Artikel II van het convenant verhaalsrecht WAO bepaalt dat geschillen tussen een uitvoeringsinstelling en een verzekeraar, die voortvloeien uit dit convenant, op directieniveau worden voorgelegd aan een hiervoor in te stellen geschillencommissie. Voorlegging aan de geschillencommissie vindt echter niet eerder plaats dan nadat betreffende directeuren zich maximaal hebben ingespannen om in onderling overleg tot een oplossing te komen. De geschillencommissie bestaat uit 3 leden. De samenstelling
hiervan wordt gevormd door één vertegenwoordiger van het Verbond van Verzekeraars en één vertegenwoordiger van het Lisv Daarnaast benoemen de twee voornoemde leden gezamenlijk een derde lid van de geschillencommissie. De uitspraak van de geschillencommissie is voor partijen bindend. Het Verbond van Verzekeraars heeft eer Rh. Elzas, advocaat en procureur te Arnhem als lid van de geschillencommissie benoemd. Het Lisv heeft eer A.L.. Geerden, kantonrechter te Rotterdam, als lid benoemd, Deze beide leden hebben eer dr F.B. Orakels, Advocaat‑Generaal bij de Hoge Raad der Nederlanden, als derde lid van de geschillencommissie benoemd. De commissie zal een procedurereglement opstellen en deze aan het Lisv en het Verbond voorleggen.
In de bijlage van het convenant verhaalsrecht WAO is de mg. formule afkoopsom WAO opgenomen: een formule voor het contant maken van een betaling aan het begin van een periode. Deze formule is vastgelegd in een ministeriële beschikking.

A afkoopsom
m = duur uitkering in jaren
c = correctie vooroverlijden e.a. factoren (22,5% van m)
U = hoogte uitkering
L = gemiddeld stijgingspercentage dagloon
r = interestpercentage
3.1 Wijzing formule afkoopsom WAO
Op 25 mei jl. heeft er een overleg tussen het Lisv en het Verbond plaatsgevonden. In dit
overleg heeft het Verbond een drietal problemen met betrekking tot het gebruik van de
afkoopformule gesignaleerd, te weten:
• De formule die in de beschikking is vastgelegd, kan strikt genomen alleen gebruikt worden voor gehele perioden. Als er met delen van een periode gewerkt wordt, dient
nog een aftrek van U x (i‑mod(m‑c)) x ( (r+L) / (i+r) )(m‑c) plaats te vinden als correctie voor de niet geheel afgeronde laatste periode. In de formule zelf dient (m‑c) dan naar boven afgerond te worden.
• De gebruikte formule is de formule voor uitkering aan het begin van een periode. Als de periode in jaren gesteld wordt, wordt er dus ten onrechte van uitgegaan dat de WAO‑uitkering in zijn geheel aan het begin van het jaar aan de begunstigde wordt uitgekeerd. Feitelijk wordt de uitkering elke maand overgemaakt aan de begunstigde.
• De uitkeringshoogte tijdens de loondervingsuitkering wijkt af van de uitkeringshoogte tijdens de vervolguitkering. De formule die in de beschikking is neergelegd, voorziet hier niet in.
Om tot een oplossing voor de gesignaleerde problemen te komen, heeft het Verbond een aantal aanpassingsvoorstellen ten aanzien van de afkoopformule gedaan.
1. De formule wordt gesplitst in een gedeelte dat betrekking heeft op de gedeeltelijk loongerelateerde uitkering en een gedeelte dat betrekking heeft op het verschil tussen de volledig ‑ en gedeeltelijk loongerelateerde uitkering;
2. Het eerste en tweede stuk hebben een verschillende resterende duur (variabele m in de formule) en een verschillende correctiefactor voor voortijdige beëindiging (variabele c);
3. De formule luidt niet langer in jaren, maar in maanden;
4. De formule bevat een correctie voor het feit dat niet aan het begin van de maand maar rond de 20e van de maand wordt betaald.
Op basis van het bovenstaande komt het Verbond tot de volgende aangepast formule:

A = afkoopsom
M = duur uitkering in maanden
Mi = duur loondervingsuitkering in maanden
c = correctie (22.5%)
Uv = hoogte vervolguitkering per maand (incl. vakgeld) (exclusief een eventueel, niet verhaalbaar, AAW‑deel)
UL = hoogte loondervingsuitkering per maand (incl. vakgeld) (exclusief een eventueel, niet verhaalbaar. AAWdeel)
L = gemiddeld stijgingspercentage dagloon per maand
r = interestpercentage per maand
3.2 Beoordeling aanpassingsvoorstellen formule afkoopsom WAO
Alvorens er wordt ingegaan op de inhoudelijke aanpassingsvoorstellen in de formule, moet een tweetal algemene punten worden opgemerkt, te weten:
• De huidige formule afkoopsom WAO is vastgelegd in een ministeriële beschikking op grond van artikel go, tweede lid, WAO. Wijzigingen in deze formule zullen derhalve aan de Staatssecretaris moeten worden voorgelegd met het verzoek de formule in de beschikking aan te passen.
• Sinds de inwerkingtreding van het convenant verhaalsrecht WAO hebben de uitvoeringsinstelling een deel van de verhaalsvorderingen berekend op basis van de huidige formule en zijn deze als zodanig bij de deelnemende verzekeraars ingediend. Indien het Lisv en het Verbond overeenkomen dat de huidige formule in het convenant moet worden aangepast, dan zullen er tevens nadere afspraken moeten worden gemaakt over de implementatie van de aangepaste formule.
De aanpassing van de formule ten aanzien van de uitkeringshoogte van volledig ‑ en gedeeltelijk loongerelateerde uitkering, zoals genoemd onder punt i en i, is reëel. De cijfermatige uitwerking in de formule leidt niet tot het maken van opmerkingen.
Het voorstel om de formule in maanden uit te schrijven, zoals genoemd onder punt;, zal niet tot grote complicaties leiden. Wel is een nadere regel nodig om jaarmutaties om te zetten in maanmutaties, te weten: Lm= 100*[ {exp( [log (I+Li*0,01)]/I2 )} ‑ I ]
Rm= 100*[ {exp( [log (1+Ri *0,01)]/12 )} ‑ I ]
De factor Rm wordt afgeleid uit de gemiddelde rente op staatsleningen. Deze geldt niet voor het Lisv. Vanwege de wettelijke bepalingen rond het geintegreerd middelenbeheer is de rentevoet van het Lisv naar boven begrensd door het gemiddelde drie‑maands/jaartarief, wat lager is. De afkoop is op die grond feitelijk relatief ongunstig voor het Lisv. De contante waarde berekening vindt plaats met een rentevoet die niet door het Lisv kan worden gerealiseerd. Aan de andere kant moet worden gesteld dat de verzekeraars wel een dergelijke rentevoet over hun beleggingen kunnen realiseren.
Ten aanzien van de aanpassing zoals deze onder punt 4 wordt vermeld, wordt het volgende opgemerkt. Als de uitbetalingsdatum steeds rond de 20e zou liggen, geldt inderdaad dat de contante waarde hiervoor gecorrigeerd moet worden ten opzichte van de aanvangsdatum afkoop. Deze factor is door het verbond bepaald op een maand [ (r+L)/(r+r) ]^2/3 . Aangenomen dat binnen de maand tussen de 1e en de 20e de uitkering niet wijzigt, zou in feite de factor moeten zijn [ r / (r+r) ]^2/3. De correctiefactor is gedefinieerd in het voordeel van het Lisv.
Dit geldt uiteraard alleen als de feitelijke betaling plaatsvindt op de eerste dag van de eerste maand waarover de afkoop plaatsvindt. Wordt later betaald, dan dient over het hele bedrag rente te worden vergoed door de afkopende partij. Hierbij wordt opgemerkt dat voor de 'oude' gevallen al een uitstel van de betaling van 3 maanden geldt.
4. Vaststelling L en r factoren
De ministeriële beschikking bepaalt dat de waarde van L (= gemiddeld stijgingspercentage dagloon) en r (=interestpercentage) voor het volgende jaar door het Lisv in de maand december wordt vastgesteld. Artikel G in de Bijlage bij het convenant bepaalt dat de factoren L en r jaarlijks door het Lisv en het Verbond worden vastgesteld voor de duur van het volgende boekjaar.
Reeds in december 1998 heeft het Lisv de factoren L en r berekend voor 1999 de factor L bedraagt 1,63% en de factor r q„59%. Bij het vaststellen van de factor L is het Lisv uitgegaan van de gemiddelde jaarlijkse WKA'‑index over een periode van S jaar. Het Verbond komt met een berekening die hiervan afwijkt, namelijk: de jaarindex loopt nu van oktober tot en met oktober. Vastgesteld moet worden dat wordt uitgegaan van het afgeronde minimumloon per maand (herleid naar het minimumloon per dag: afronden na vermenigvuldiging met 21,75 dagen). Op zich kan dit gunstig zijn voor het Lisv, omdat hiermee de periode zonder indexering sneller uit de berekening verdwijnt. Het Verbond komt, bij de bepaling van de factoren L en r, tot eenzelfde uitkomst. Ten behoeve van publicatie in de Staatscourant is het besluit tot vaststelling van de factoren L en r voor het boekjaar 1999 opgesteld (zie bijlage).
In het convenant zal nader moeten worden geregeld dat:
• De factoren L en r op maandbasis worden herleid, en wel in hoeveel decimalen nauwkeurig.
• Het quotiënt (r+L)/(i+r) op maandbasis in ten minste 5 cijfers achter de komma wordt
berekend gelet op het effect van de overgang van jaarbasis naar maandbasis
dus niet 1,02\ maar 1,02134 2
1 Wet koppeling met afwijkingsmogelijkheid
2 De factoren L en r worden op jaarbasis in twee posities achter de komma weergegeven: dril significante cijfers. L is vaak relatief klein: x,08% op jaarbasis wordt op maandbasis 0,09% Hierbij vallen twee significante cijfers weg. A1 eerder is opgemerkt dot (1+L)/1i+r) niet op twee cijfers maar ten minset op 3 cijfers significant moet worden bepaald uitgaande van L en r op jaarbasis. Bijl: stel r=o en L=1,49 dan wordt (i+L)/(i+r)=1,0149 maar 1,01 na afronding op twee posities.
5 Berekening van het fictieve AAW‑bedrag
Artikel 3 van het convenant verhaalsrecht WAO bevat de bepaling dat bij een tot de regresvordering leidende gebeurtenis vóór 01-01-1998 de bruto uitkering op grond van de WAO wordt verminderd met de voor de betreffende jaren geldende bruto AAW‑uitkering. Voor de in de jaren 1998 en volgende te verhalen WAO‑uitkeringen wordt uitgegaan van het niveau van de bruto AAW‑uitkering over 1997, jaarlijks en op basis van een samengestelde berekening te vermeerderen met het percentage waarmee in dat jaar het minimumloon en de daaraan gekoppelde sociale uitkeringen zijn verhoogd op grond van de W KA.
Het AAW‑bedrag wordt bepaald als 70% van het brutominimumloon /21,75 Opgemerkt wordt dat de‑AAW grondslag kan nog steeds worden afgeleid uit de grondslag voor de WAZ‑ en de Wajong, dan wel uit de grondslag voor de vervolguitkering WW.
De index elk half jaar kan vanaf 1 juli 1998 worden bepaald als:
Index, ‑ 100*(grondslag WAZT /grondslag WAZT-1-/‑ I)
De grondslag moet dan wel met een factor 1,08 worden opgehoogd voor het vakantiegeld.
N. B.: Het maandbedrag wordt berekend als:
uitkeringspercentage * grondstag per dag * 21.75 (aantal dagen) * 1,08 (vakantiegeld)
Hierbij is het uitkeringspercentage afhankelijk van de mate van arbeidsongeschiktheid.
Een andere mogelijkheid is voortaan uit te gaan van de WW vervolguitkeringen voor 3
jaar en ouder (deze is inclusief vakantietoeslag)
Het AAW‑bedrag kan niet met de factor L worden berekend. Immers uitgangspunt van de berekening is de hoogte van het uitkeringsbedrag [per maand] op de eerste dag dat wordt afgekocht.
Aan de hand van het bovenstaande leidt tot het onderstaande overzicht met betrekking tot de berekenin van de AAW rondslag
|
|
Berekening door Verbond van Verzekeraars |
AAW grondslag _. |
WW-vervolg |
|
1 jul-97 |
113,02 |
103,16 |
111,42 |
|
1 jan-98 |
114,62 |
104,66 |
113,03 |
|
1 jul-98 |
116,24 |
106,09 |
114,_58 |
|
1 jan-99 |
118,09 |
107,83 |
116,46 |
|
1 jul-99 |
119,66 |
109,26 |
- 118,00 |
Door het Lisv secretariaat wordt voorgesteld om de AAW‑grondslag te berekenen op basis van de grondslag voor WW‑uitkeringen voor 23 jaar en ouder.
6
Aan de hand van de bestuurlijke besluitvorming over de aanpassingsvoorstellen van het
Verbond van Verzekeraars, zal er nader overleg moeten plaatsvinden met het Verbond.
Als het Lisv en het Verbond overeenstemming bereiken over een aangepaste
afkoopformule, zal een tweetal acties moeten worden ondernomen, te weten:
• Wijzigingen in de afkoopformule zullen aan de Staatssecretaris moeten worden voorgelegd met het verzoek de formule in de beschikking aan te passen;
• Het Lisv en het Verbond zullen nadere afspraken moeten maken over de implementatie van de aangepaste formule.
CVZ 3/692‑z
Besluit van het Landelijk instituut sociale verzekeringen tot vaststelling van de factoren
L en r voor het boekjaar 1999
Het Landelijk instituut sociale verzekeringen,
Gelet op artikel 3, vierde en vijfde lid, van de Beschikking van de Staatssecretaris van Sociale Zaken van 29 december 1980 Stcrt. 1980, 253, laatstelijk gewijzigd bij Beschikking van de Staatssecretaris van Sociale Zaken en Werkgelegenheid van 25 februari 1997, Stcrt. 1997, 41;
Besluit:
Artikel 2 De factor r, bedoeld in artikel 2 van de in artikel z genoemde beschikking, wordt voor het boekjaar 1998 vastgesteld op 4,59%.
Artikel 3 Dit besluit treedt in werking met ingang van de tweede dag na plaatsing in de Staatscourant en werkt terug tot en met 1 januari 1999
Dit besluit zal met de toelichting in de Staatscourant worden geplaatst.
Amsterdam, .... 1999
J.F. Buurmeijer, voorzitter
Toelichting
Ingevolge artikel 90, eerste lid, van de Wet op de arbeidsongeschiktheidsverzekering (WAO) heeft het Landelijk instituut sociale verzekeringen (Lisv) voor de krachtens deze wet gemaakte kosten verhaal op degene, die in verband met het veroorzaken van arbeidsongeschiktheid jegens de verzekerde naar burgerlijk recht tot schadevergoeding is verplicht.
Op grond van artikel 90, tweede lid, WAO heeft de Staatssecretaris van Sociale Zaken regels gesteld met toepassing waarvan het Lisv in plaats van het bedrag der periodieke verstrekkingen de contante waarde daarvan kan vorderen. Een tweetal factoren uit de ter zake in die regels opgenomen formule, te weten de factoren L en r, worden door het Lisv vastgesteld.
Amsterdam, .... 1999
J.F. Buurmeijer, voorzitter
VERBOND VAN VERZEKERAARS Sector Schadeverzekering
Bijlage 2
Aan de deelnemers van het convenant verhaalsrecht WAO
Onze referentie Den Haag
991zr/2169/ahart 11 mei 1999
Gevraagde actie
Ter informatie
Uitvoering convenant verhaalsrecht WAO
Op 5 maart jl. hebben wij u geïnformeerd over de stand van zaken met betrekking tot enkele uitvoeringstechnische kwesties bij het convenant verhaalsrecht WAO. Hierover is contact geweest tussen het Verbond van Verzekeraars en het Landelijk instituut sociale verzekeringen (Lise). Omdat dit nog niet heeft geleid tot concrete oplossingen vindt op korte termijn hernieuwd overleg plaats met het Lise om de problemen af te kaarten. Tot het moment waarop de uitvoeringsproblemen zijn opgelost handhaaft het Verbond van Verzekeraars zijn advies aan de deelnemers om de betaling van de door de Uvi's ingediende claims op te schorten.
Met de brief van 5 maart jl. (kenmerk 991zr/1008/pjans) hebben wij u geïnformeerd over de stand van zaken rondom enkele uitvoeringstechnische problemen bij het convenant verhaalsrecht WAO. Het gaat daarbij om een drietal zaken namelijk de opzet van de geschillencommissie conform art. 11 van het convenant, de definitieve vormgeving van de afkoopformule conform art. 10 van het convenant en het feit dat de Uvi's lijsten met verhaalsclaims WAO indienen bij verzekeraars waarbij verzuimd wordt om de in het convenant neergelegde berekeningsmethodiek toe te passen. Langs deze weg wordt u hieromtrent nader geïnformeerd
De problemen rondom de vormgeving van de afkoopsom en de door de Uvi's gehanteerde berekeningsmethodiek, hebben geleid tot een advies van het Verbond van Verzekeraars aan de deelnemers om regresclaims WAO om ‑ zowel bij jaarlijkse afhandeling dauwel afdoening volgens de afkoopformule ‑ de betaling hiervan aan de Uvi's voor onbepaalde tijd op te schorten. In de tussentijd zou worden getracht om met het Landelijk instituut sociale verzekeringen (Lisv) tot afspraken te komen voor oplossing van de hiervoor geschetste problematiek.
Informatie: drs. P.L.M. Janssen Doorkiesnummer (070) 3338605 Fax rechtstreeks (070) 3338630 E‑mail pjans@verzekeraars.org Bordewijklaan 2, 2591 XR, Postbus 93450, 2509 AL Den Haag, Internet www.verzekeraars.org
Het Verbond van Verzekeraars stelt alles in het werk om gezamenlijk met het Lisv te komen tot een oplossing van uitvoeringsproblemen. Dit heeft vooralsnog niet geleid tot concrete oplossin‑. gen. Op korte termijn vindt hernieuwd overleg plaats met het Lisv om de problemen af te kaarten. Tot het moment waarop de uitvoeringsproblemen zijn opgelost handhaaft het Verbond van Verzekeraars zijn advies om de betaling van de door de Uvi's ingediende claims op te schorten.
Tenslotte maken wij van deze gelegenheid gebruik u te wijzen op een omissie in de bijlage die bij mijn vorig schrijven aan u is toegezonden ("Berekeningsmethodiek volgens convenant"). In het praktijkvoorbeeld moet het bedrag dat staat voor het AAW‑dagloon plus vakantietoeslag f 113,02 zijn in plaats van f 113,2. In dat geval is de uitkomst van de berekening correct namelijk f 3953,17,‑. De correcte bijlage treft u integraal in de bijlage aan.
Wij houden u op de hoogte van de verdere ontwikkelingen.
Met vriendelijke groet,
mr. R. Weurding secretaris
88Lzr/2169/abart
BIJLAGE 1 BEREKENINGSMETHODIEK VOLGENS CONVENANT
t x 76%(=kortings%) x 70%(= uitkerings%) x [ (100% + OHT) ((WAO‑dagloon) ‑ (AAW‑dagloon + VT))]
t = tijdsperiode
OHT = overhevelingstoeslag
VT = vakantietoeslag
Verzekeraars moeten een overzicht krijgen van het WAO‑dagloon, het AAW‑dagloon en het uitkeringspercentage.
Praktijkvoorbeeld:
Claim WAO‑verhaal over periode januari 1998 tot en met juni 1998:
129 dagen x 76°/a x 70% x((101,7% (169,66‑113,02)) = 3953,17
t = 129 dagen
70% = uitkeringspercentage
76% = kortingspercentage
OHT = 1,7%
169,66 = WAO‑dagloon
113,2 = AAW‑dagloon plus vakantietoeslag
Bijlage 3
In de beschikking van de Minister van SZW m.b.t. de vaststelling van de afkoopsom van eer WAO‑uitkering is de volgende formule vastgelegd:

A = afkoopsom
m = duur uitkering in jaren
c = correctie (22,5% van m)
U = hoogte uitkering
L = gemiddeld stijgingspercentage dagloon
r = interestpercentage
Deze formule is de formule voor het contant maken van een betaling aan het begin van de periode. De op deze manier berekende afkoopsom wordt vervolgens met een factor 1,02 opgehoogd. Deze opslag is bedoeld als kostenopslag. Het percentage is gebaseerd op de kapitalisatieovereenkomst met de FBV die liep t/m 1989.
Formule afkoopsom
Bij de vaststelling van de formule spelen drie problemen:
1. De formule die in de beschikking is vastgelegd, kan strikt genomen alleen gebruikt worden voor gehele perioden. Als er met delen van een periode gewerkt wordt, dient nog een aftrek
van U x (1‑mod(m‑c)) x ( (1+L) / (1+r) )(m c) plaats te vinden als correctie voor de niet geheel afgeronde laatste periode. In de formule zelf dient (m‑c) dan naar boven afgerond te worden.
Overigens zou in de formule voor m ook een niet geheel getal ingevuld worden. De uitkomst wijkt dan iets af van de feitelijk juiste uitkomst, maar toepassing van een correctie zoals hierboven beschreven is dan niet nodig. De afwijking die ontstaat wanneer een niet geheel getal wordt ingevuld voor (m‑c) is maximaal 0,2% van de afkoopsom'.
2. De gebruikte formule is de formule voor uitkering aan het begin van een periode. Als de periode in jaren gesteld wordt, wordt er dus ten onrechte van uitgegaan dat de WAOuitkering in zijn geheel aan het begin van het jaar aan de begunstigde wordt uitgekeerd. Feitelijk wordt de uitkering elke maand overgemaakt aan de begunstigde. De koopsom valt door de berekening per jaar tot 2,4 % te hoog uit'.
3. De uitkeringhoogte tijdens de loondervingsuitkering wijkt af van de uitkeringshoogte tijdens de vervolguitkering. De formule die in de beschikking is neergelegd, voorziet hier niet in.
Een oplossing voor deze problemen is berekening op maandbasis. Het eerste probleem vervalt dan omdat de uitkeringsduur van de WAO altijd in gehele maanden berekend wordt.
Van het tweede probleem blijft een klein deel over, omdat de uitkering niet aan het begin van de maand, maar in het tweede helft van de maand plaatsvindt. Dit kan gecorrigeerd worden
door in de formule de vermenigvuldigingsfactor ((1+L)/(1+r))^(20/30) op te nemen (gemakshalve ervan uitgaande dat de uitkering op de 20e van de maand plaatsvindt en dat een maand gemiddeld 30 dagen heeft). Toepassing van deze correctiefactor leidt tot een maximale daling van de koopsom van 0,3%'.
Het derde probleem kan opgelost worden door de contante waarde te berekenen op basis van de vervolguitkering en daar de contante waarde van het verschil tussen loondervingsuitkering en vervolguitkering (berekend over de duur van de loondervingsuitkering) bij op te tellen.
De formule voor A zou dan worden:

A = afkoopsom
m, = duur loondervingsuitkering in maanden
m = duur uitkering in maanden
c = correctie (22,5% van m)
UL = hoogte loondervingsuitkering per maand (incl. vakgeld)
Uv = hoogte vervolguitkering per maand (incl. vakgeld)
L = gemiddeld stijgingspercentage dagtoon per maand
r = interestpercentage per maand
In deze formule is er van uitgegaan dat:
• de correctie c volledig in mindering gebracht wordt op de vervolguitkering. Omdat de vervolguitkeringsfase over het algemeen langer is dan de loondervingsfase en omdat met name de kans op vooroverlijden groter is in de vervolguitkeringfase, is aangenomen dat vooroverlijden of uittreding op grond van overige persoonlijke omstandigheden altijd tijdens de vervolguitkeringsfase plaatsvindt.
• de factoren 1+r en 1+L de twaalfde‑machtswortels zijn van de conform convenant berekende jaarfactoren, zodat op basis van rente‑op‑rente‑berekening de in de beschikking vastgelegde factoren de facto gehanteerd worden.
Kostenopslag
Administratiekosten vallen niet onder het civiele plafond. De correctiefactor voor administratiekosten dient dus te vervallen.
Conclusie
Indien de formule gehanteerd wordt die in de beschikking is neergelegd, valt de afkoopsom tot 4,7% te hoog uit. Bij de eerder door het CVS geschatte volumina is dat een bedrag van ca 9,5 min per jaar. Een dergelijk verschil is niet acceptabel.
Bovendien is het bedrag U, de jaarlijkse uitkering, niet eenduidig vast te stellen, waardoor de beperking van de administratiekosten die met het convenant beoogd werd, in mindere mate gehaald kan worden.
Het verdient derhalve de voorkeur de formule zodanig aan te passen dat de berekening op
maandbasis plaatsvindt, waarbij uit overwegingen van eenvoud de factor ((1+L)/(1+r))^(2/3) achterwege zou kunnen blijven. Omdat de formule in een ministeriële beschikking is vastgelegd is deze ook formeel eenvoudig aan te passen.
De formule in de beschikking zou dan kunnen worden:

A = afkoopsom
m = duur uitkering in maanden
ml = duur loondervingsuitkering in maanden
c = correctie op grond van kans op vooroverlijden en op grond van individuele omstandigheden
UL = hoogte loondervingsuitkering per maand (incl. vakgeld)
Uv = hoogte vervolguitkering per maand (incl. vakgeld)
L = gemiddeld stijgingspercentage dagloon per maand
r = interestpercentage per maand
Vaststelling L en r voor 1999
Volgens de ministeriële beschikking wordt de waarde van L en r voor het volgende jaar door het Lisv in de maand december vastgesteld. Hieronder wordt berekend wat de waarde van L en r voor 1999 is.
Factor L
De factor L voor het jaar t wordt berekend als het gemiddelde stijgingspercentage van het WML‑dagloon inclusief vakantietoeslag over de periode 30‑11‑[t‑5j tot 30‑11‑[t‑1j.
In onderstaande tabel wordt het WML‑dagloon per 30‑11 voor een aantal jaren weergegeven.
WML‑dagloon per 30‑11
Jaar WML‑dagloon
1993 99,84
1994 99,84
1995 99,84
1996 101,70
1997 103,56
1998 106,50
De factor L is de gemiddelde stijging over de afgelopen vier jaar en is te berekenen als de vierde‑machtswortel van het niveau van het laatste jaar, gedeeld door het niveau van vier jaar daarvoor (voor 1997 103,59 / 99,84 en voor 1998 106,50 / 99,84). Conform de beschikking wordt in deze berekeningsmethode de factor L afgerond op 2 decimalen. De factor L is dan voor 1997 0,92% en voor 1998 1,63%.
Factor r
De factor r is het gemiddeld effectief rendement van de vijf staatsleningen met de langste gemiddeld resterende looptijd in de maand november van het voorgaande jaar. Dit cijfer wordt door het CBS gepubliceerd en bedraagt voor 1997 5,71 % en voor 1998 4,59%.
Factor 1+L / 1+r op maandbasis
Indien de formule voor de bepaling van de afkoopsom op maandbasis gebruikt wordt bedraagt de te hanteren factor 1 +L 1 1 +r 0,99761043. Dit is de twaalfdemachtswortel van 1 +L 1 1 +r, waarbij L en r conform de beschikking zijn afgerond op 2 decimalen. Afronding van de factor 1+L / 1+r op 8 decimalen leidt tot afwijkingen in de afkoopsom van minder dan 1 gulden.
Samenvatting
De formule in de ministeriële beschikking voor de berekening van de afkoopsom van een WAO‑uitkering is in de praktijk het best uitvoerbaar wanneer deze separaat toegepast wordt op de loondervings‑ en de vervolguitkering en wanneer berekening op maandbasis plaatsvindt. De formule ziet er dan als volgt uit:

A = afkoopsom
m = duur uitkering in maanden
m, = duur loondervingsuitkering in maanden
c = correctie op grond van kans op vooroverlijden en op grond van individuele omstandigheden
UL = hoogte loondervingsuitkering per maand (incl. vakgeld)
Uv = hoogte vervolguitkering per maand (incl. vakgeld) maandfactor = ((1+L)/(1+r))^(1/12)
De te hanteren factoren voor 1998 en 1999 zijn:
L r maandfactor
1998 0,92% 5,71 % 0,99614318
1999 1,63% 4,59% 0,99761043
Aan de deelnemers van het convenant verhaalsrecht WAO MOI 2000/03
Onze referentie 2000schade/1835/ewent
Den Haag
23 juni 2000
Betreft geschillencommissie convenant verhaalsrecht WAO
Geachte dames en heren,
In de gezamenlijke brief van 5 april 2000 hebben het Lisv en het Verbond van Verzekeraars u geïnformeerd over de stand van zaken met betrekking tot de geschillencommisie. In vervolg hierop berichten wij u het volgende.
De geschillencommissie bestaat uit 3 leden. De samenstelling hiervan wordt gevormd door één vertegenwoordiger van het Verbond van Verzekeraars en één vertegenwoordiger van het Lisv.
Daarnaast benoemen de twee voornoemde leden gezamenlijk een derde lid van de geschillencommissie. De uitspraak van de geschillencommissie is voor partijen bindend. Het Verbond van Verzekeraars heeft mr. R.Ph. Elzas, advocaat en procureur te Arnhem als lid van de geschillencommissie benoemd. Het Lisv heeft mr. A.F.L. Geerdes, kantonrechter te Rotterdam, als lid benoemd. Deze beide leden hebben mr. dr. F.B. Bakels, Advocaat-Generaal bij de Hoge Raad der Nederlanden, als derde lid van de geschillencommissie benoemd.
De geschillencommissie heeft het Reglement Arbitrage WAO-convenant opgesteld. Het Lisv en het Verbond van Verzekeraars hebben ingestemd met het voorliggende reglement. Hierbij sturen wij u een afschrift van het Reglement Arbitrage WAO-convenant.
Voor de volledigheid wijzen wij u op artikel 11 van het convenant verhaalsrecht WAO. Dit artikel bepaalt dat geschillen tussen een uitvoeringsinstelling en een verzekeraar, die voortvloeien uit dit convenant, op directieniveau worden voorgelegd aan een hiervoor in te stellen geschillencommissie. Voorlegging aan de geschillencommissie vindt echter niet eerder plaats dan nadat betreffende directeuren zich maximaal hebben ingespannen om in onderling overleg tot een oplossing te komen.
Informatie bij Lisv: mevrouw mr. R.C. Eijer, 020 - 504 75 02
Informatie bij Verbond van Verzekeraaars mevrouw drs. N. van den Hoff Doorkiesnummer (070) 3338665 Fax rechtstreeks (070) 3338600 E-mail nhoffwerzekeraars.nl Bordewijklaan 2, 2591 XR, Postbus 93450, 2509 AL Den Haag, Internet www.verzekeraars.nl
Wij vertrouwen erop met dit gezamenlijk schrijven u voldoende te hebben geïnformeerd.
Met vriendelijke groet,
m vrouw mr. Laura R.R. Rath de heer mr. M.J.P.M. Kieviet
secretaris adjunct-directeur
Arbitrage WAO-convenant
De geschillencommissie
1.1 Er bestaat een geschillencommissie zoals bedoeld in artikel 11 van het convenant verhaalsrecht WAO, gesloten tussen. het LISV en het Verbond van Verzekeraars, dal. 27 november 1998
1.2 Waar dit reglement geen regeling bevat en het convenant wél, gelden de bepalingen van het convenant. Ter precisering van artikel 4 van het convenant geldt echter de volgende regeling. Arbiters zijn bevoegd tot beslissing van feitelijke geschilpunten die de omvang van het verhaalsrecht betreffen, met naine de berekening en begroting daarvan alsmede geschillen met betrekking tot de medische causaliteit, zoals bedoeld in artikel 4 van het convenant. Geschilpunten van juridische aard, ook waar deze de omvang van de vordering betreffen, zoals eigen schuld, vallen buiten de bevoegdheid van de geschillencommissie.
De ontvankelijkheid van de aan de geschillencommissie voorgelegde vorderingen wordt beheerst door het convenant.
1.3 De geschillencommissie zal recht doen als arbitraal college in de zin van de artikelen 1020 ex. van het Wetboek van Burgerlijke Rechtsvordering.
1.4 Door een procedure bij de commissie aanhangig te maken, onderscheidenlijk door als verweerder in het geding te verschijnen, onderwerpen de procespartijen zich aan de rechtsmacht van de geschillencommissie als arbitraal college.
1.5 De leden van de geschillencommissie zullen recht spreken als goede mannen naar billijkheid. De beslissingen van de geschillencommissie zullen van een motivering zijn voorzien. Haar uitspraken zijn niet aan hoger beroep onderworpen.
Aanvang procedure
2.1. Een zaak wordt aanhangig gemaakt door het indienen van een summiere vordering bij het secretariaat van de arbitragecommissie, adres: Dirkzwager Advocaten en Notarissen Postbus 3045 6802 DA ARNHEM
2.2 De summiere vordering is ondertekend door het verantwoordelijk directielid van de uitvoeringsinstelling, resp. van de verzekeraar van de eisende partij. In deze summiere vordering wordt verder melding gemaakt van: a. de naam; het adres (telefoonnummer/faxnummer, e-mail-adres), de referentie en de naam van de verantwoordelijke behandelaar; b. de naam, het adres (zo mogelijk telefoonnummer/faxnummer, e-mail-adres), de referentie en de naam van de behandelaar, het verantwoordelijk directielid van de uitvoeringsinstelling, resp. van de verzekeraar van de verwerende partij; c. een korte omschrijving van het geschil.
3. Het secretariaat bevestigt aan de eisende partij de ontvangst van de summiere vordering, waarvan een afschrift wordt gestuurd aan de verwerende partij.
4. Het secretariaat draagt zorg voor toezending van aile stukken en correspondentie aan arbiters.
4.1 Naar aanleiding van de summiere vordering zal het secretariaat namens arbiters aan ieder van partijen verzoeken een gelijk bedrag terzake van voorschot op de kosten verbonden aan de arbitrage te betalen, welk bedrag binnen vier weken op de opgegeven rekening van het secretariaat gestort dient te zijn. De kosten van de arbitrage worden op het totale voorschot verhaald. Indien en voorzover een partij in de kosten van de arbitrage wordt veroordeeld, zal hij de desbetreffende kosten zelf op de andere partij dienen te verhalen.
Memorie van eis
5. Binnen een termijn van vier weken te rekenen vanaf de datum van verzending van de ontvangstbevestiging, zal de eisende partij in de gelegenheid zijn een uitgewerkte en gemotiveerde memorie van eis in te dienen. Daarbij dienen drie afschriften te worden gevoegd. De memorie van eis bevat een duidelijke conclusie ten aanzien van hetgeen gevorderd wordt. Aile op de vordering betrekking hebbende stukken, rapportages e.d. zullen bij de memorie van eis gevoegd moeten worden.
6. Het secretariaat draagt onverwijld zorg voor de doorzending van de memorie van eis met eventuele bijlage aan de verweerder en aan arbiters.
Memorie van antwoord
7. De verwerende partij heeft te rekenen vanaf de datum van verzending van de brief bedoeld in artikel 6 gedurende een termijn van vier weken de gelegenheid een memorie van antwoord in viervoud in te dienen. Stukken of rapporten, waarop de verweerder een beroep wil doen, zullen bij de memorie van antwoord gevoegd dienen te worden.
8. Het secretariaat draagt onverwijld zorg voor de doorzending aan eiser en arbiters van de door verweerder ingediende stukken.
9. De verweerder is gerechtigd een tegenvordering in te dienen.
Mondelinge behandeling
10. Partijen kunnen bij memorie van eis of memorie van antwoord kenbaar maken hun standpunt mondeling te willen toelichten. In dat geval zal het secretariaat in overleg met partijen een datum voor de mondelinge behandeling vastleggen.
il. Na het indienen van de memorie van antwoord kunnen arbiters ook ambtshalve een mondelinge behandeling gelasten.
12. Behoudens bijzondere omstandigheden zullen partijen maximaal een half uur de gelegenheid krijgen voor het mondeling toelichten van hun standpunt.
13.1 Indien arbiters een mondelinge behandeling bepalen dienen daarbij aanwezig te zijn het verantwoordelijk directielid van de verzekeraar en het verantwoordelijk directielid van de betreffende uitvoeringsinstelling.
13.2 Arbiters kunnen andere personen dan de gemachtigde van partijen uitnodigen tot het bijwonen van de mondelinge behandeling teneinde informatie te verstrekken.
14. Arbiters kunnen een griffier aanwijzen die zorgdraagt voor het notuleren bij gelegenheid van een mondelinge behandeling en/of bij een getuigenverhoor.
15. Een partij die na het nemen van de memorie van antwoord schriftelijke stukken wil indienen voorafgaand aan de mondelinge behandeling, dient er voor zorg te dragen dat deze
stukken uiterlijk 14 dagen voor de aanvang van de mondelinge behandeling in het bezit zijn van arbiters en van de andere partij.
16. Bijzondere omstandigheden daargelaten zullen arbiters geen acht slaan op stukken, die op een later tijdstip en/of tijdens de mondelinge behandeling worden ingediend.
17. Arbiters kunnen partijen opdragen bepaalde stukken over te leggen.
Repliek/dupliek
18. In het geval geen van partijen een mondelinge behandeling wenst en ook arbiters geen aanleiding zien voor een mondelinge behandeling, kan de eisende partij arbiters verzoeken een schriftelijke conclusie van repliek te mogen in te dienen. Indien dit verzoek wordt toegestaan, zal de verweerder hierop kunnen reageren met een conclusie van dupliek. 19. De conclusie van repliek dient te worden ingediend binnen een termijn van vier weken te rekenen vanaf het bericht van het secretariaat, dat het indienen van de repliek wordt toegestaan. De dupliek dient te worden ingediend binnen een termijn van vier weken te rekenen vanaf de datum van verzending van de repliek door het secretariaat. 20. Arbiters kunnen ambtshalve na het indienen van het laatste schriftelijke processtuk een mondelinge behandeling bepalen.
Verlenging termijnen
21. De termijnen bepaald voor het indienen van de stukken kunnen na vooraf verkregen toestemming van de wederpartij hooguit twee maal worden verlengd met eenzelfde termijn, een en ander behoudens bijzondere omstandigheden ter beoordeling van arbiters.
Vonnis
22. Na het indienen van het laatste processtuk, althans na afloop van de mondelinge behandeling, zullen arbiters in beginsel binnen een termijn van zes weken schriftelijk vonnis wijzen: Arbiters kunnen deze termijn verlengen. 23. Arbiters kunnen een tussenvonnis wijzen en daarbij een bijeenkomst van partijen gelasten, een getuigenverhoor opdragen of een deskundigenbericht bevelen.
24. In het vonnis geven arbiters een beslissing omtrent het gevorderde. Tevens beslissen arbiters omtrent de kosten. 25. Het secretariaat draagt zorg voor de toezending van het vonnis aan partijen en voor het neerleggen van het (gedeeltelijk) eindvonnis ter griffe van de arrondissementsrechtbank van de plaats van vestiging van de arbitrage. Afschriften van de uitspraken worden toegezonden aan het Verbond en aan het LISV.
Getuigenverhoor
26. Met goedvinden van partijen kan de voorzitter van de arbitragecommissie getuigen en/of deskundigen horen en - in zaken die naar het oordeel van de commissie voor een minnelijke regeling vatbaar zijn - een comparitie van partijen enkelvoudig voorzitten.
Plaats van arbitrage
27. De plaats van arbitrage is Amhem. Het secretariaat is gevestigd ten kantore van de arbiter Mr R.Ph. Elzas.
Aan de deelnemers van het convenant verhaalsrecht WAO
WAO 2000/04
Onze referentie Den Haag
2000schade/2103/ewent 24 juli 2000
Betreft
1. Nieuwe formule WAO treedt per 21 juli 2000 in werking
2. De kapitalisatiefactoren voor 2000 oude formule
Geachte dames en heren,
Nieuwe formule WAO treedt per 21 juli 2000 in werking _ ‑‑‑
In de brief van 5 april jl., ons kenmerk 2000schade/1073/ewent, bent u door ons geïnformeerd
over de het nog niet inwerking zijn van de afkoopformule voor de WAO. Wij, het Verbond van
Verzekeraars en het Lisv kunnen u nu mededelen dat de nieuwe formule is gepubliceerd in de Staatscourant Nr. 137 van 19 juli jl. en is in werking getreden per 21 juli jl.
De eerder gemaakte afspraak als vermeld in de brief van 5 april namelijk: "Tof het moment dat de nieuwe afkoopformule in de Staatscourant is gepubliceerd, zullen de verzekeraars en de uitvoeringsinstellingen de afkoopformule hanteren, zoals deze op dit moment in de ministeriële beschikking is bepaald. Met andere woorden: de "oude" afkoopformule wordt gehanteerd." geldt voor alle claims ingediend vóór of óp 20 juli 2000.
Alle claims met betrekking tot afkoop ingediend óp of ná 21 juli 2000 zullen door verzekeraars en uitvoeringsinstellingen worden afgehandeld met inachtneming van de op 19 juli 2000 gepubliceerde formule.
De kapitalisatiefactoren voor 2000 oude formule
In het WAO‑convenant is een formule voor de afkoop van het WAO‑regres opgenomen. Naar aanleiding van vragen van verzekeraars om de kapitalisatiefactoren via het Verbond ter beschikking te stellen is voor u deze oude formule voor een aantal standaardleeftijden naar een factor omgerekend. Deze factor kan vermenigvuldigd worden met de netto WAO jaaruitkering en de factor 1,02 voor de administratiekosten. De factoren vindt u in de bijlage
Informatie bij Lisv: mevrouw mr. R.C. Eijer, 020 ‑ 504 75 02
Informatie bij Verbond van Verzekeraars: mevrouw drs. N. van den Hoff Doorkiesnummer (070) 3338665 Fax rechtstreeks (070) 3338600 E‑mail nhoffwerzekeraars.nl Bordewiiklaan 2, 2591 XR, Postbus 93450, 2509 AL Den Haag, Internet www.verzekeraars.nl
Wij vertrouwen erop u met dit gezamenlijk schrijven voldoende te hebben geïnformeerd
mevr uw mr. L.R.R. Rath mr. M.J.P.M. Kieviet
secretaris adjunct‑directeur
2000schade/2103/ewent
VERBOND VAN VERZEKERAARS
Lisv
Kapitalisatie factoren WAO‑convenant met betrekking tot de formule van voor 22 juli
2000
In de beschikking van de Minister van SZW m.b.t. de vaststelling van de afkoopsom van een WAO‑uitkering is de volgende formule vastgelegd:

A = afkoopsom
m = duur uitkering in jaren
c = correctie vooroverlijden e.a. factoren (22,5% van m)
U = hoogte uitkering
L = gemiddeld stijgingspercentage dagloon
r = interestpercentage
Factor L 2,38%
Factor r 5,42%
Factor c 22,5%
De weergegeven factor is de waarde van de component (1‑((1+L)/(1+r))^(m‑c))/1‑(1+L)/(1+r) waarbij, conform convenant, (1+L)/(1+r) is afgerond op 2 decimalen en (m‑c) op 1 decimaal. Voor m is het verschil tussen 65 en de weergegeven leeftijd genomen.
|
Leeftijd |
Factor |
Leeftijd |
Factor |
Leeftijd |
Factor |
|
23 |
20,9842 |
38 |
15,6970 |
53 |
8,2228 |
|
24 |
20,6796 |
39 |
15,3169 |
54 |
7,6034 |
|
25 |
20,3674 |
40 |
14,8725 |
55 |
7,0489 |
|
26 |
20,0476 |
41 |
14,4172 |
56 |
6,4006 |
|
27 |
19,7613 |
42 |
13,9506 |
57 |
5,7362 |
|
28 |
19,4265 |
43 |
13,5329 |
58 |
5,0555 |
|
29 |
19,0835 |
44 |
13,0445 |
59 |
4,4461 |
|
30 |
18,7320 |
45 |
12,5440 |
60 |
3,7336 |
|
31 |
18,4173 |
46 |
12,0312 |
61 |
3,0034 |
|
32 |
18,0494 |
47 |
11,5721 |
62 |
2,2553 |
|
33 |
17,6724 |
48 |
11,0353 |
63 |
1,5855 |
|
34 |
17,2861 |
49 |
10,4853 |
64 |
0,8024 |
|
35 |
16,9403 |
50 |
9,9217 |
|
|
|
36 |
16,5359 |
51 |
9,4172 |
|
|
|
37 |
16,1216 |
52 |
8,8273 |
|
|